【药物名称】Flumexadol, CERM-1841
化学结构式(Chemical Structure):
参考文献No.900418
标题:
作者:Mauvernay, R.; et al.
来源:FR 95182; US 3637680
合成路线图解说明:

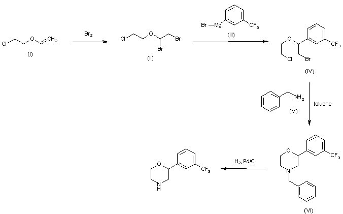
The bromination of 2-chloroethyl vinyl ether (I) with Br2 in ether gives 1,2-dibromo-2-(2-chloroethoxy)ethane (II), which is condensed with 3-trifluoromethylphenylmagnesium bromide (III) in refluxing ether yielding 2-(2-chloroethoxy)-2-(3-trifluoromethylphenyl)ethyl bromide (IV). This compound is cyclized with benzylamine (V) in refluxing toluene affording 4-benzyl-2-(3-trifluoromethylphenyl)tetrahydro-1,4-oxazine (V), which is finally debenzylated by hydrogenation with H2 over Pd/C in ethanol - water

参考文献No.950175
标题:T閠rahydrooxazines-1,4:1. Nouvelle m閠hode de synth鑣e et 閠ude de leur interaction avec les r閏epteurs tryptaminergiques D
作者:Bush, N.
来源:Eur J Med Chem 1976,11(3),201-207
合成路线图解说明:

The bromination of 2-chloroethyl vinyl ether (I) with Br2 in ether gives 1,2-dibromo-2-(2-chloroethoxy)ethane (II), which is condensed with 3-trifluoromethylphenylmagnesium bromide (III) in refluxing ether yielding 2-(2-chloroethoxy)-2-(3-trifluoromethylphenyl)ethyl bromide (IV). This compound is cyclized with benzylamine (V) in refluxing toluene affording 4-benzyl-2-(3-trifluoromethylphenyl)tetrahydro-1,4-oxazine (V), which is finally debenzylated by hydrogenation with H2 over Pd/C in ethanol - water

参考文献No.950176
标题:Flumexadol
作者:Casta馿r, J.; Thorpe, P.J.
来源:Drugs Fut 1978,3(10),746
合成路线图解说明:

The bromination of 2-chloroethyl vinyl ether (I) with Br2 in ether gives 1,2-dibromo-2-(2-chloroethoxy)ethane (II), which is condensed with 3-trifluoromethylphenylmagnesium bromide (III) in refluxing ether yielding 2-(2-chloroethoxy)-2-(3-trifluoromethylphenyl)ethyl bromide (IV). This compound is cyclized with benzylamine (V) in refluxing toluene affording 4-benzyl-2-(3-trifluoromethylphenyl)tetrahydro-1,4-oxazine (V), which is finally debenzylated by hydrogenation with H2 over Pd/C in ethanol - water

Drug Information Express,Drug R&D,Chemical Database,Patent Search.
Copyright © 2006-2026 Drug Future. All rights reserved.Contact Us