【药物名称】Fenaperone, MD-67332
化学结构式(Chemical Structure):
参考文献No.900417
标题:
作者:Fauran, C.; et al.
来源:DE 1907244; FR 1581468; FR M7162; GB 1186495; US 3658821
合成路线图解说明:

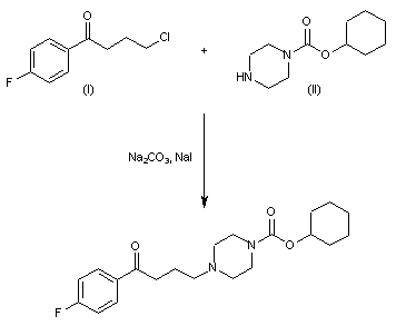
By condensation of p-fluoro-gamma-chlorobutyrophenone (I) with cyclohexyl piperazine-N-carboxylate (II) by means of Na2CO3 and Nal in refluxing xylene.

参考文献No.950174
标题:Fenaperone
作者:Casta馿r, J.; Owen, R.T.
来源:Drugs Fut 1978,3(10),734
合成路线图解说明:

By condensation of p-fluoro-gamma-chlorobutyrophenone (I) with cyclohexyl piperazine-N-carboxylate (II) by means of Na2CO3 and Nal in refluxing xylene.

Drug Information Express,Drug R&D,Chemical Database,Patent Search.
Copyright © 2006-2026 Drug Future. All rights reserved.Contact Us