【药物名称】Piflutixol
化学结构式(Chemical Structure):
参考文献No.900414
标题:
作者:Buus, J.M.L.; et al.
来源:DE 2631389
合成路线图解说明:

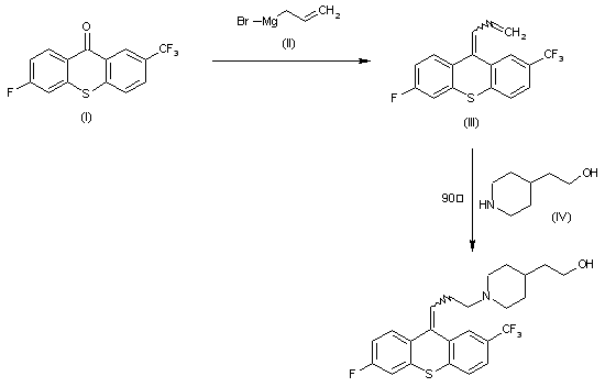
The Grignard reaction of 2-trifluoromethyl-6-fluorothioxanthone (I) with allylmagnesium bromide (II) in ether gives 2-trifluoromethyl-6-fluoro-9-(2-propenylidene)thioxanthene (III), which is then condensed with 4-(2-hydroxyethyl)piperidine (IV) at 90 C.

参考文献No.950172
标题:Piflutixol
作者:Casta馿r, J.; Owen, R.T.
来源:Drugs Fut 1978,3(9),670
合成路线图解说明:

The Grignard reaction of 2-trifluoromethyl-6-fluorothioxanthone (I) with allylmagnesium bromide (II) in ether gives 2-trifluoromethyl-6-fluoro-9-(2-propenylidene)thioxanthene (III), which is then condensed with 4-(2-hydroxyethyl)piperidine (IV) at 90 C.

Drug Information Express,Drug R&D,Chemical Database,Patent Search.
Copyright © 2006-2026 Drug Future. All rights reserved.Contact Us