【药物名称】Flurocitabine, NSC-166641, AAFC
化学结构式(Chemical Structure):
参考文献No.900412
标题:
作者:Hoffer, M.
来源:AU 326837; DE 2342930; FR 2199468; GB 1389799; JP 7466696; NL 7312201; US 3899482; ZA 7305572
合成路线图解说明:

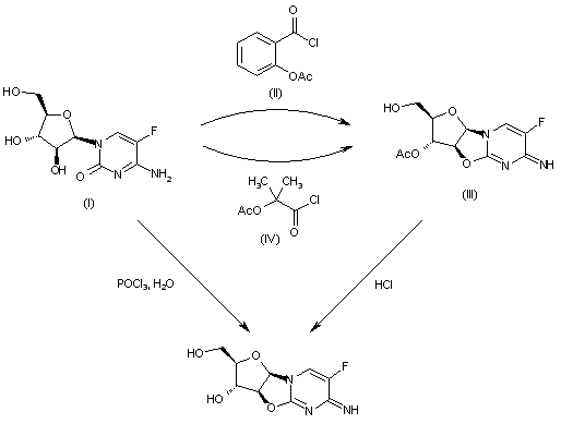
It can be prepared in two different ways both starting from 5-fluorocytidine (I): 1) By reaction of (I) with partially hydrolyzed POCl3 in refluxing ethyl acetate (1), or DMF and acetonitrile (2). 2) By reaction of (I) with o-acetoxybenzoyl chloride or 2-acetoxy-iso-butyryl chloride in refluxing acetonitrile to give the acetoxy compound (III), which is hydrolyzed with methanolic HCl (3,4).

参考文献No.900413
标题:
作者:Hoffer, M.
来源:AU 33199; DE 2363536; GB 1407381; JP 7495998; NL 7316269; ZA 7308658
合成路线图解说明:

It can be prepared in two different ways both starting from 5-fluorocytidine (I): 1) By reaction of (I) with partially hydrolyzed POCl3 in refluxing ethyl acetate (1), or DMF and acetonitrile (2). 2) By reaction of (I) with o-acetoxybenzoyl chloride or 2-acetoxy-iso-butyryl chloride in refluxing acetonitrile to give the acetoxy compound (III), which is hydrolyzed with methanolic HCl (3,4).

参考文献No.950169
标题:Pyrimidine nucleosides. 5.Syntheses of carcinostatic halogenocyclonucleosides
作者:Kanai, T.; Ichino, M.
来源:J Med Chem 1972,15(12),1218-1221
合成路线图解说明:

It can be prepared in two different ways both starting from 5-fluorocytidine (I): 1) By reaction of (I) with partially hydrolyzed POCl3 in refluxing ethyl acetate (1), or DMF and acetonitrile (2). 2) By reaction of (I) with o-acetoxybenzoyl chloride or 2-acetoxy-iso-butyryl chloride in refluxing acetonitrile to give the acetoxy compound (III), which is hydrolyzed with methanolic HCl (3,4).

参考文献No.950170
标题:Nucleosides XCIX. 2-Acetoxybenzoyl chloride, a reagent for the direct synthesis of 2,2?anhydropyrimidine nucleosides
作者:Reichman, U.; et al.
来源:Synthesis 1976,8533-534
合成路线图解说明:

It can be prepared in two different ways both starting from 5-fluorocytidine (I): 1) By reaction of (I) with partially hydrolyzed POCl3 in refluxing ethyl acetate (1), or DMF and acetonitrile (2). 2) By reaction of (I) with o-acetoxybenzoyl chloride or 2-acetoxy-iso-butyryl chloride in refluxing acetonitrile to give the acetoxy compound (III), which is hydrolyzed with methanolic HCl (3,4).

参考文献No.950171
标题:Flurocitabine
作者:Casta馿r, J.; Woodman, R.J.
来源:Drugs Fut 1978,3(9),647
合成路线图解说明:

It can be prepared in two different ways both starting from 5-fluorocytidine (I): 1) By reaction of (I) with partially hydrolyzed POCl3 in refluxing ethyl acetate (1), or DMF and acetonitrile (2). 2) By reaction of (I) with o-acetoxybenzoyl chloride or 2-acetoxy-iso-butyryl chloride in refluxing acetonitrile to give the acetoxy compound (III), which is hydrolyzed with methanolic HCl (3,4).

Drug Information Express,Drug R&D,Chemical Database,Patent Search.
Copyright © 2006-2026 Drug Future. All rights reserved.Contact Us