【药物名称】Tioxaprofen, EMD-26644
化学结构式(Chemical Structure):
参考文献No.900411
标题:
作者:Dahm, J.; et al.
来源:AU 323158; AU 327889; AU 327890; AU 327891; AU 327892; AU 328440; FR 2140632; GB 1331408; US 3933840; ZA 7203502
合成路线图解说明:

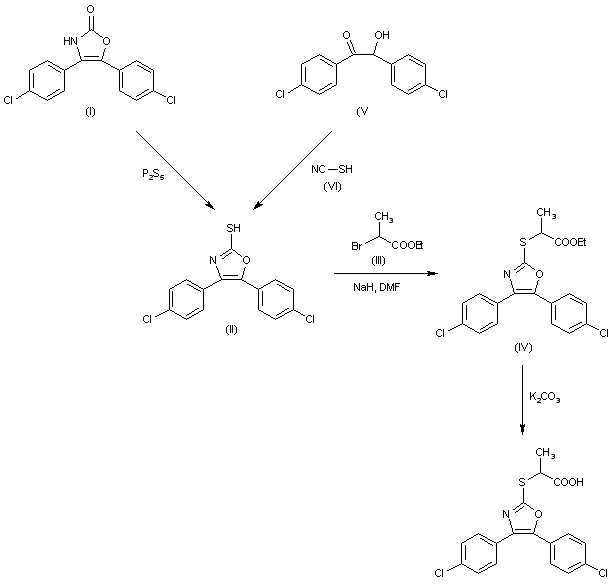
The reaction of 4,5-bis(p-chlorophenyl)-2-oxazolone (I) with P2S5 in boiling xylene gives 2-mercapto-4,5-bis(p-chlorophenyl)oxazole (II), which by reaction with ethyl 2-bromopropionate (III) by means of NaH in DMF yields ethyl 2-[4,5-bis(p-chlorophenyl)-2-oxazolylmercapto]propionate (IV). Finally this compound is hydrolyzed with K2CO3 in refluxing ethanol. Compound (II) can also be obtained by cyclization of 4,4'-dichlorobenzoin (V) with HSCN (VI).

参考文献No.950168
标题:Tioxaprofen
作者:Casta馿r, J.; Garc韆 Rafanell, J.
来源:Drugs Fut 1978,3(8),615
合成路线图解说明:

The reaction of 4,5-bis(p-chlorophenyl)-2-oxazolone (I) with P2S5 in boiling xylene gives 2-mercapto-4,5-bis(p-chlorophenyl)oxazole (II), which by reaction with ethyl 2-bromopropionate (III) by means of NaH in DMF yields ethyl 2-[4,5-bis(p-chlorophenyl)-2-oxazolylmercapto]propionate (IV). Finally this compound is hydrolyzed with K2CO3 in refluxing ethanol. Compound (II) can also be obtained by cyclization of 4,4'-dichlorobenzoin (V) with HSCN (VI).

Drug Information Express,Drug R&D,Chemical Database,Patent Search.
Copyright © 2006-2026 Drug Future. All rights reserved.Contact Us