【药物名称】Furofenac, SAS-650
化学结构式(Chemical Structure):
参考文献No.900403
标题:
作者:Tamagnone, G.F.; De Marchi, F.
来源:US 4029811
合成路线图解说明:

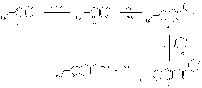
It can be prepared in three different ways): 1) By reduction of 2-ethylbenzofuran (I) with H2 over Pd/C in acetic acid yields 2-ethyl-2,3-dihydrobenzofuran (II). The Friedel-Crafts acetylation of (II) with acetic anhydride and AlCl3 in methylene chloride gives 2-ethyl-5-acetyl-2,3-dihydrobenzofuran (III), which is treated with sulfur in refluxing morpholine (IV) to yield 2-ethyl-2,3-dihydrobenzofuran-5-acetothiomorpholide (V). Hydrolysis of (V) with NaOH affords furofenac.

合成路线图解说明:

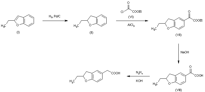
2) By reduction of 2-ethylbenzofuran (I) with H2 over Pd/C in acetic acid yields 2-ethyl-2,3-dihydrobenzofuran (II). The Friedel-Crafts acylation of (II) with ethyl chlorooxalate (VI) gives 2-ethyl-2,3-dihydrobenzofuran-5-oxalic acid ethylester (VII). Hydrolysis of this compound with NaOH followed by reduction with hydrazine hydrate and KOH in diethyleneglycol yields furofenac.

合成路线图解说明:

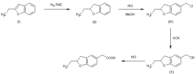
3) By reduction of 2-ethylbenzofuran (I) with H2 over Pd/C in acetic acid yields 2-ethyl-2,3-dihydrobenzofuran (II). The chloromethylation of (II) gives 2-ethyl-5-chloromethyl-2,3-dihydrobenzofuran (IX), which is converted into 2-ethyl-2,3-dihydrobenzofuran-6-acetonitrile (X) by reaction with KCN in refluxing ethanol. Hydrolysis of (IX) with concentrated HCl yields furofenac.

参考文献No.950163
标题:Nuovi agenti antiinfiammatori: acido 2-etil-2,3-di-idrobenzofuran-5-acetico e composti correlati
作者:Tamagnone, G.F.; et al.
来源:Simposio internaziole: la ricerca scientifica nell抜ndustria farmaceutica in Italia. Risultati e ruolo internazionale. 1975,154
合成路线图解说明:

It can be prepared in three different ways): 1) By reduction of 2-ethylbenzofuran (I) with H2 over Pd/C in acetic acid yields 2-ethyl-2,3-dihydrobenzofuran (II). The Friedel-Crafts acetylation of (II) with acetic anhydride and AlCl3 in methylene chloride gives 2-ethyl-5-acetyl-2,3-dihydrobenzofuran (III), which is treated with sulfur in refluxing morpholine (IV) to yield 2-ethyl-2,3-dihydrobenzofuran-5-acetothiomorpholide (V). Hydrolysis of (V) with NaOH affords furofenac.

合成路线图解说明:

2) By reduction of 2-ethylbenzofuran (I) with H2 over Pd/C in acetic acid yields 2-ethyl-2,3-dihydrobenzofuran (II). The Friedel-Crafts acylation of (II) with ethyl chlorooxalate (VI) gives 2-ethyl-2,3-dihydrobenzofuran-5-oxalic acid ethylester (VII). Hydrolysis of this compound with NaOH followed by reduction with hydrazine hydrate and KOH in diethyleneglycol yields furofenac.

合成路线图解说明:

3) By reduction of 2-ethylbenzofuran (I) with H2 over Pd/C in acetic acid yields 2-ethyl-2,3-dihydrobenzofuran (II). The chloromethylation of (II) gives 2-ethyl-5-chloromethyl-2,3-dihydrobenzofuran (IX), which is converted into 2-ethyl-2,3-dihydrobenzofuran-6-acetonitrile (X) by reaction with KCN in refluxing ethanol. Hydrolysis of (IX) with concentrated HCl yields furofenac.

参考文献No.950164
标题:Sintesi e analisi di intermedi di reazione ed impurezze nello sviluppo chimico di un antiinfiamatorio arilacetico
作者:Tamagnone, G.F.; et al.
来源:Boll Chim Farm 1977,11681
合成路线图解说明:

It can be prepared in three different ways): 1) By reduction of 2-ethylbenzofuran (I) with H2 over Pd/C in acetic acid yields 2-ethyl-2,3-dihydrobenzofuran (II). The Friedel-Crafts acetylation of (II) with acetic anhydride and AlCl3 in methylene chloride gives 2-ethyl-5-acetyl-2,3-dihydrobenzofuran (III), which is treated with sulfur in refluxing morpholine (IV) to yield 2-ethyl-2,3-dihydrobenzofuran-5-acetothiomorpholide (V). Hydrolysis of (V) with NaOH affords furofenac.

合成路线图解说明:

2) By reduction of 2-ethylbenzofuran (I) with H2 over Pd/C in acetic acid yields 2-ethyl-2,3-dihydrobenzofuran (II). The Friedel-Crafts acylation of (II) with ethyl chlorooxalate (VI) gives 2-ethyl-2,3-dihydrobenzofuran-5-oxalic acid ethylester (VII). Hydrolysis of this compound with NaOH followed by reduction with hydrazine hydrate and KOH in diethyleneglycol yields furofenac.

合成路线图解说明:

3) By reduction of 2-ethylbenzofuran (I) with H2 over Pd/C in acetic acid yields 2-ethyl-2,3-dihydrobenzofuran (II). The chloromethylation of (II) gives 2-ethyl-5-chloromethyl-2,3-dihydrobenzofuran (IX), which is converted into 2-ethyl-2,3-dihydrobenzofuran-6-acetonitrile (X) by reaction with KCN in refluxing ethanol. Hydrolysis of (IX) with concentrated HCl yields furofenac.

参考文献No.950165
标题:Iclazepam
作者:Hillier, H.
来源:Drugs Fut 1978,3(8),586
合成路线图解说明:

It can be prepared in three different ways): 1) By reduction of 2-ethylbenzofuran (I) with H2 over Pd/C in acetic acid yields 2-ethyl-2,3-dihydrobenzofuran (II). The Friedel-Crafts acetylation of (II) with acetic anhydride and AlCl3 in methylene chloride gives 2-ethyl-5-acetyl-2,3-dihydrobenzofuran (III), which is treated with sulfur in refluxing morpholine (IV) to yield 2-ethyl-2,3-dihydrobenzofuran-5-acetothiomorpholide (V). Hydrolysis of (V) with NaOH affords furofenac.

合成路线图解说明:

2) By reduction of 2-ethylbenzofuran (I) with H2 over Pd/C in acetic acid yields 2-ethyl-2,3-dihydrobenzofuran (II). The Friedel-Crafts acylation of (II) with ethyl chlorooxalate (VI) gives 2-ethyl-2,3-dihydrobenzofuran-5-oxalic acid ethylester (VII). Hydrolysis of this compound with NaOH followed by reduction with hydrazine hydrate and KOH in diethyleneglycol yields furofenac.

合成路线图解说明:

3) By reduction of 2-ethylbenzofuran (I) with H2 over Pd/C in acetic acid yields 2-ethyl-2,3-dihydrobenzofuran (II). The chloromethylation of (II) gives 2-ethyl-5-chloromethyl-2,3-dihydrobenzofuran (IX), which is converted into 2-ethyl-2,3-dihydrobenzofuran-6-acetonitrile (X) by reaction with KCN in refluxing ethanol. Hydrolysis of (IX) with concentrated HCl yields furofenac.

Drug Information Express,Drug R&D,Chemical Database,Patent Search.
Copyright © 2006-2026 Drug Future. All rights reserved.Contact Us