【药物名称】Cinnarizine clofibrate, LM-16
化学结构式(Chemical Structure):
参考文献No.
900401
标题:
作者:
来源:
BE 837117
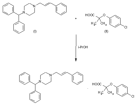
合成路线图解说明:
By heating a mixture of cinnarizine (I) and clofibrinic acid (II) in refluxing isopropanol.
参考文献No.
950161
标题:
Cinnarizine Clofibrate
作者:
Casta馿r, J.; Hillier, K.
来源:
Drugs Fut 1978,3(8),572
合成路线图解说明:
By heating a mixture of cinnarizine (I) and clofibrinic acid (II) in refluxing isopropanol.
Drug Information Express,Drug R&D,Chemical Database,Patent Search.
Copyright © 2006-2026
Drug Future
. All rights reserved.
Contact Us