【药物名称】Tosifen, Sch-11973
化学结构式(Chemical Structure):
参考文献No.900397
标题:
作者:Zitowitz,L.; et al.
来源:AU 321930; CA 976188; CH 580579; DE 2042230; FR 2068521; GB 1308210; ZA 7005866
合成路线图解说明:

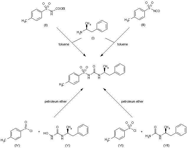
It can be prepared in several different ways: 1) By reaction of d-amphetamine (I) with ethyl N-p-toluenesulfonylcarbamate (II) in refluxing toluene (1). 2) By reaction of (I) with p-toluenesulfonyl isocyanate (III) in refluxing toluene (1). 3) By reaction of p-toluenesulfinyl chloride (IV) with 3-hydroxy-1-(d-alpha-methyl-phenethyl) urea (V) in refluxing petroleum ether (1). 4) By reaction of p-toluenesulfonyl chloride (VI) with N-(d-alpha-methylphenethyl)urea (VII) in refluxing petroleum ether (2).

参考文献No.900398
标题:
作者:
来源:AU 3230659
合成路线图解说明:

It can be prepared in several different ways: 1) By reaction of d-amphetamine (I) with ethyl N-p-toluenesulfonylcarbamate (II) in refluxing toluene (1). 2) By reaction of (I) with p-toluenesulfonyl isocyanate (III) in refluxing toluene (1). 3) By reaction of p-toluenesulfinyl chloride (IV) with 3-hydroxy-1-(d-alpha-methyl-phenethyl) urea (V) in refluxing petroleum ether (1). 4) By reaction of p-toluenesulfonyl chloride (VI) with N-(d-alpha-methylphenethyl)urea (VII) in refluxing petroleum ether (2).

参考文献No.950157
标题:Tosifen
作者:Casta馿r, J.; Weetman, D.F.
来源:Drugs Fut 1978,3(7),553
合成路线图解说明:

It can be prepared in several different ways: 1) By reaction of d-amphetamine (I) with ethyl N-p-toluenesulfonylcarbamate (II) in refluxing toluene (1). 2) By reaction of (I) with p-toluenesulfonyl isocyanate (III) in refluxing toluene (1). 3) By reaction of p-toluenesulfinyl chloride (IV) with 3-hydroxy-1-(d-alpha-methyl-phenethyl) urea (V) in refluxing petroleum ether (1). 4) By reaction of p-toluenesulfonyl chloride (VI) with N-(d-alpha-methylphenethyl)urea (VII) in refluxing petroleum ether (2).

Drug Information Express,Drug R&D,Chemical Database,Patent Search.
Copyright © 2006-2026 Drug Future. All rights reserved.Contact Us