【药物名称】Sarmoxicillin
化学结构式(Chemical Structure):
参考文献No.900367
标题:
作者:
来源:BE 831941; JP 7723089
合成路线图解说明:

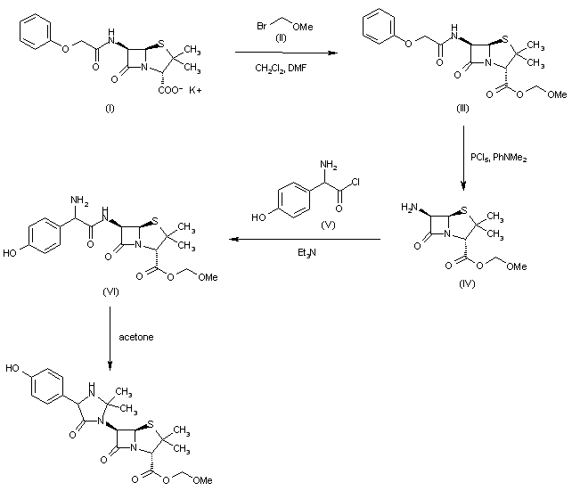
A suspension of potassium phenoxymethylpenicillanate (I) in CH2Cl2 is treated with bromomethyl methyl ether (II) and DMF to give methoxymethyl ester of penicilline V (phenoxymethylpenicillanic acid) (III), which by treatment with PCl5 and dimethylaniline in CH2Cl2 is converted into methoxymethyl 6-aminopenicillanate (IV). The condensation of (IV) with p-hydroxyphenylglycyl chloride (V) by means of triethylamine in CH2Cl2 affords amoxicilline methoxymethyl ester (VI), which is finally treated with acetone at pH 6.5-9.5.

参考文献No.900368
标题:
作者:Sleezer, P.; Jonhson, D.A.
来源:ZA 7504722
合成路线图解说明:

A suspension of potassium phenoxymethylpenicillanate (I) in CH2Cl2 is treated with bromomethyl methyl ether (II) and DMF to give methoxymethyl ester of penicilline V (phenoxymethylpenicillanic acid) (III), which by treatment with PCl5 and dimethylaniline in CH2Cl2 is converted into methoxymethyl 6-aminopenicillanate (IV). The condensation of (IV) with p-hydroxyphenylglycyl chloride (V) by means of triethylamine in CH2Cl2 affords amoxicilline methoxymethyl ester (VI), which is finally treated with acetone at pH 6.5-9.5.

参考文献No.950121
标题:Sarmoxicillin
作者:Blancafort, P.; Serradell, M.N.; Casta馿r, J.; Mealy, N.
来源:Drugs Fut
合成路线图解说明:

A suspension of potassium phenoxymethylpenicillanate (I) in CH2Cl2 is treated with bromomethyl methyl ether (II) and DMF to give methoxymethyl ester of penicilline V (phenoxymethylpenicillanic acid) (III), which by treatment with PCl5 and dimethylaniline in CH2Cl2 is converted into methoxymethyl 6-aminopenicillanate (IV). The condensation of (IV) with p-hydroxyphenylglycyl chloride (V) by means of triethylamine in CH2Cl2 affords amoxicilline methoxymethyl ester (VI), which is finally treated with acetone at pH 6.5-9.5.

Drug Information Express,Drug R&D,Chemical Database,Patent Search.
Copyright © 2006-2026 Drug Future. All rights reserved.Contact Us