【药物名称】Parconazole, R-39500
化学结构式(Chemical Structure):
参考文献No.900365
标题:
作者:Heeres, J.
来源:BE 837831; DE 2602770; FR 2298328; NL 7514381; US 3936470
合成路线图解说明:

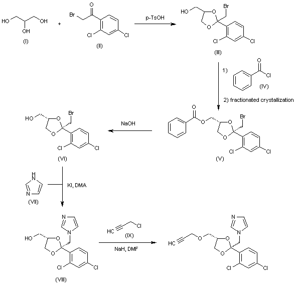
The cyclization of glycerol (I) with 2,4-dichlorophenacyl bromide (II) by means of p-toluenesulfonic acid in a refluxing mixture of toluene and butanol gives 2-bromomethyl-2-(2,4-dichlorophenyl)-4-(hydroxymethyl)-1,3-dioxolane (III), which by esterification with benzoyl chloride (IV) in pyridine followed by a fractionated crystallization affords cis-2-bromomethyl-2-(2,4-dichlorophenyl)-4-(benzoyloxymehyl)-3-dioxolane (V). The hydrolysis of (V) with NaOH in refluxing dioxane - water yields the corresponding alcohol (VI), which by reaction with imidazole (VII) by means of KI in refluxing dimethylacetamide gives cis-2-(1H-imidazol-1-ylmethyl)-2-(2,4-dichlorophenyl)-4-(hydroxymethyl)-1,3-dioxolane (VIII). Finally this compound is condensed with 3-chloro-1-propyn (IX) by means of NaH in DMF.

参考文献No.950119
标题:Parconazole
作者:Blancafort, P.; Serradell, M.N.; Casta馿r, J.; Arya, V.P.
来源:Drugs Fut 1979,4(7),513
合成路线图解说明:

The cyclization of glycerol (I) with 2,4-dichlorophenacyl bromide (II) by means of p-toluenesulfonic acid in a refluxing mixture of toluene and butanol gives 2-bromomethyl-2-(2,4-dichlorophenyl)-4-(hydroxymethyl)-1,3-dioxolane (III), which by esterification with benzoyl chloride (IV) in pyridine followed by a fractionated crystallization affords cis-2-bromomethyl-2-(2,4-dichlorophenyl)-4-(benzoyloxymehyl)-3-dioxolane (V). The hydrolysis of (V) with NaOH in refluxing dioxane - water yields the corresponding alcohol (VI), which by reaction with imidazole (VII) by means of KI in refluxing dimethylacetamide gives cis-2-(1H-imidazol-1-ylmethyl)-2-(2,4-dichlorophenyl)-4-(hydroxymethyl)-1,3-dioxolane (VIII). Finally this compound is condensed with 3-chloro-1-propyn (IX) by means of NaH in DMF.

Drug Information Express,Drug R&D,Chemical Database,Patent Search.
Copyright © 2006-2026 Drug Future. All rights reserved.Contact Us