【药物名称】NNC-57-0588
化学结构式(Chemical Structure):
参考文献No.50489
标题:2,4-Diaminothiazole derivs.
作者:Olesen, P.H.; Kurtzhals, P.; Bowler, A.N.; Soerensen, A.R.; Worsaae, H.; Hansen, B.F. (Novo Nordisk A/S)
来源:WO 0156567
合成路线图解说明:

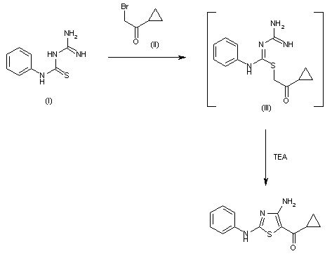
The reaction of N1-amidino-N3-phenylthiourea (I) with 2-bromo-1-cyclopropylethanone (II) in ethanol/acetone gives the N1-amidino-S-(2-cyclopropyl-2-oxoethyl)-N3-phenylisothiourea (III), which without isolation is cyclized to the target aminothiazole by means of TEA.

合成路线图解说明:

The reaction of aniline (I) with di(2-pyridyl)thione (DPT) gives the corresponding isothiocyanate (II), which is condensed with cyanamide (III) and 2-bromo-1-cyclopropylethanone (IV) (obtained by bromination of acetylcyclopropane (V)) by means of NaOMe to yield the adduct (VI). This compound, without isolation, cyclizes to the target thiazole.

合成路线图解说明:

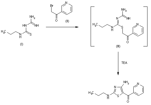
The reaction of N1-amidino-N3-propylthiourea (I) with 2-bromo-1-(3-pyridyl)ethanone (II) in ethanol/acetone gives the N1-amidino-S-[2-oxo-2-(3-pyridyl)ethyl]-N3-propylisothiourea (III), which without isolation is cyclized to the target aminothiazole by means of TEA.

合成路线图解说明:

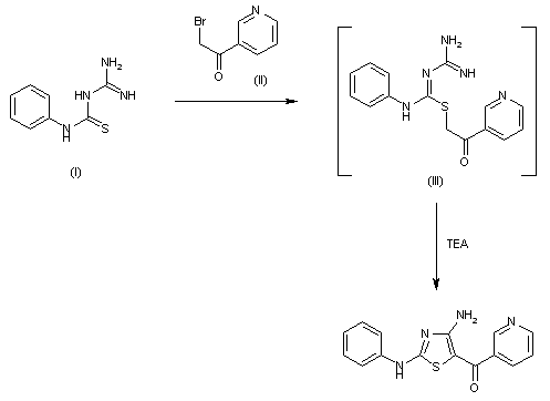
The reaction of N1-amidino-N3-phenylthiourea (I) with 2-bromo-1-(3-pyridyl)ethanone (II) in ethanol/acetone gives the N1-amidino-S-[2-oxo-2-(3-pyridyl)ethyl]-N3-phenylisothiourea (III), which without isolation is cyclized to the target aminothiazole by means of TEA.

合成路线图解说明:

The reaction of N1-amidino-N3-phenylthiourea (I) with 3-(benzyloxy)phenacyl bromide (II) in ethanol/acetone gives the N1-amidino-S-[2-(3-benzyloxyphenyl)-2-oxoethyl]-N3-phenylisothiourea (III), which without isolation is cyclized to the target aminothiazole by means of TEA.

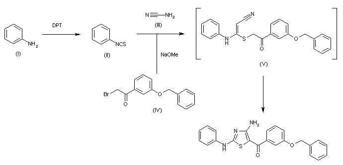
合成路线图解说明:

The reaction of aniline (I) with di(2-pyridyl)thione (DPT) gives the corresponding isothiocyanate (II), which is condensed with cyanamide (III) and 2-bromo-1-(3-benzyloxyphenyl)ethanone (IV) by means of NaOMe to yield the adduct (V). This compound, without isolation, cyclizes to the target thiazole.

合成路线图解说明:

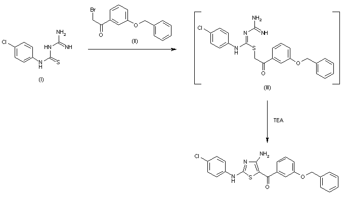
The reaction of N1-amidino-N3-(4-chlorophenyl)thiourea (I) with 3-(benzyloxy)phenacyl bromide (II) in ethanol/acetone gives the N1-amidino-S-[2-(3-benzyloxyphenyl)-2-oxoethyl]-N3-(4-chlorophenyl)isothiourea (III), which without isolation is cyclized to the target aminothiazole by means of TEA.

参考文献No.641418
标题:2,4-Diaminothiazoles: A novel class of glycogen synthase kinase-3 (GSK-3) inhibitors
作者:Sorensen, A.R.; Engelhardt, S.; Kurtzhals, P.; Urso, B.; Bowler, A.N.
来源:11th RSC-SCI Med Chem Symp (Sept 9 2001, Cambridge) 2001,Abst P20
合成路线图解说明:

The reaction of N1-amidino-N3-phenylthiourea (I) with 2-bromo-1-cyclopropylethanone (II) in ethanol/acetone gives the N1-amidino-S-(2-cyclopropyl-2-oxoethyl)-N3-phenylisothiourea (III), which without isolation is cyclized to the target aminothiazole by means of TEA.

合成路线图解说明:

The reaction of aniline (I) with di(2-pyridyl)thione (DPT) gives the corresponding isothiocyanate (II), which is condensed with cyanamide (III) and 2-bromo-1-cyclopropylethanone (IV) (obtained by bromination of acetylcyclopropane (V)) by means of NaOMe to yield the adduct (VI). This compound, without isolation, cyclizes to the target thiazole.

合成路线图解说明:

The reaction of N1-amidino-N3-propylthiourea (I) with 2-bromo-1-(3-pyridyl)ethanone (II) in ethanol/acetone gives the N1-amidino-S-[2-oxo-2-(3-pyridyl)ethyl]-N3-propylisothiourea (III), which without isolation is cyclized to the target aminothiazole by means of TEA.

合成路线图解说明:

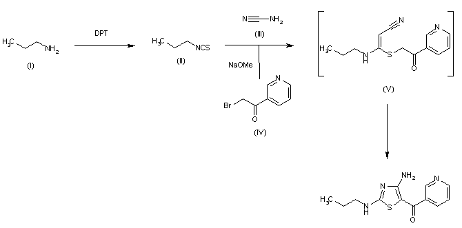
The reaction of propylamine (I) with di(2-pyridyl)thione (DPT) gives the corresponding isothiocyanate (II), which is condensed with cyanamide (III) and 2-bromo-1-(3-pyridyl)ethanone (IV) by means of NaOMe to yield the adduct (V). This compound, without isolation, cyclizes to the target thiazole.

合成路线图解说明:

The reaction of N1-amidino-N3-phenylthiourea (I) with 2-bromo-1-(3-pyridyl)ethanone (II) in ethanol/acetone gives the N1-amidino-S-[2-oxo-2-(3-pyridyl)ethyl]-N3-phenylisothiourea (III), which without isolation is cyclized to the target aminothiazole by means of TEA.

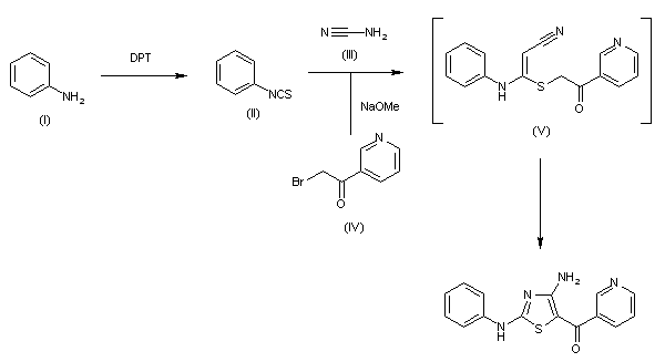
合成路线图解说明:

The reaction of aniline (I) with di(2-pyridyl)thione (DPT) gives the corresponding isothiocyanate (II), which is condensed with cyanamide (III) and 2-bromo-1-(3-pyridyl)ethanone (IV) by means of NaOMe to yield the adduct (V). This compound, without isolation, cyclizes to the target thiazole.

合成路线图解说明:

The reaction of N1-amidino-N3-phenylthiourea (I) with 3-(benzyloxy)phenacyl bromide (II) in ethanol/acetone gives the N1-amidino-S-[2-(3-benzyloxyphenyl)-2-oxoethyl]-N3-phenylisothiourea (III), which without isolation is cyclized to the target aminothiazole by means of TEA.

合成路线图解说明:

The reaction of aniline (I) with di(2-pyridyl)thione (DPT) gives the corresponding isothiocyanate (II), which is condensed with cyanamide (III) and 2-bromo-1-(3-benzyloxyphenyl)ethanone (IV) by means of NaOMe to yield the adduct (V). This compound, without isolation, cyclizes to the target thiazole.

合成路线图解说明:

The reaction of N1-amidino-N3-(4-chlorophenyl)thiourea (I) with 3-(benzyloxy)phenacyl bromide (II) in ethanol/acetone gives the N1-amidino-S-[2-(3-benzyloxyphenyl)-2-oxoethyl]-N3-(4-chlorophenyl)isothiourea (III), which without isolation is cyclized to the target aminothiazole by means of TEA.

合成路线图解说明:

The reaction of 4-chloroaniline (I) with di(2-pyridyl)thione (DPT) gives the corresponding isothiocyanate (II), which is condensed with cyanamide (III) and 2-bromo-1-(3-benzyloxyphenyl)ethanone (IV) by means of NaOMe to yield the adduct (V). This compound, without isolation, cyclizes to the target thiazole.

Drug Information Express,Drug R&D,Chemical Database,Patent Search.
Copyright © 2006-2026 Drug Future. All rights reserved.Contact Us