【药物名称】LASSBio-468
化学结构式(Chemical Structure):
参考文献No.632145
标题:Anti-inflammatory effects of thalidomide-derived compounds on LPS-induced inflammation in mouse lung
作者:Legora, A.M.; et al.
来源:Inflamm Res 2001,50(Suppl. 3),Abst 083
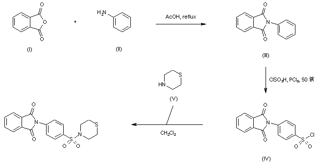
合成路线图解说明:

The condensation of phthalic anhydride (I) with aniline (II) in refluxing HOAc produced N-phenyl phthalimide (III). Aromatic sulfonation of (III) with chlorosulfonic acid in the presence of PCl5 afforded the sulfonyl chloride (IV). This was finally condensed with thiomorpholine (V) to furnish the target sulfonamide.

Drug Information Express,Drug R&D,Chemical Database,Patent Search.
Copyright © 2006-2026 Drug Future. All rights reserved.Contact Us