【药物名称】Rociverine, LG-30158
化学结构式(Chemical Structure):
参考文献No.900360
标题:
作者:Turbantin L.
来源:US 3700675; US 3700775; ZA 6705649
合成路线图解说明:

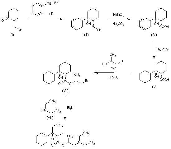
The Grignard reaction of 2-hydroxymethylcyclohexanone (I) with phenyl magnesium bromide (II) in ether gives 2-hydroxymethyl-1-phenylcyclohexanol (III), which by oxidation with KMnO4 in water containing Na2CO3 is converted into 2-phenyl-2-hydroxycyclohexanecarboxylic acid (IV). The reduction of (IV) with H2 over PtO2 in acetic acid at 80 C and 22 Kg/cm2 affords 2-cyclohexyl-2-hydroxycyclohexanecarboxylic acid (V) (1,2), which is esterified with 1-bromo-2-propanol (VI) by means of 85% H2SO4 yielding 1-bromoisopropyl-2-cyclohexyl-2-hydroxycyclohexanecarboxylate (VII). Finally this compound is treated with diethylamine (VIII) and triethylamine at 120 C (2).

参考文献No.900361
标题:
作者:
来源:DE 1618626; FR M7240; GB 1167386
合成路线图解说明:

The Grignard reaction of 2-hydroxymethylcyclohexanone (I) with phenyl magnesium bromide (II) in ether gives 2-hydroxymethyl-1-phenylcyclohexanol (III), which by oxidation with KMnO4 in water containing Na2CO3 is converted into 2-phenyl-2-hydroxycyclohexanecarboxylic acid (IV). The reduction of (IV) with H2 over PtO2 in acetic acid at 80 C and 22 Kg/cm2 affords 2-cyclohexyl-2-hydroxycyclohexanecarboxylic acid (V) (1,2), which is esterified with 1-bromo-2-propanol (VI) by means of 85% H2SO4 yielding 1-bromoisopropyl-2-cyclohexyl-2-hydroxycyclohexanecarboxylate (VII). Finally this compound is treated with diethylamine (VIII) and triethylamine at 120 C (2).

参考文献No.950111
标题:Rociverine
作者:de Angelis, L.
来源:Drugs Fut 1979,4(4),276
合成路线图解说明:

The Grignard reaction of 2-hydroxymethylcyclohexanone (I) with phenyl magnesium bromide (II) in ether gives 2-hydroxymethyl-1-phenylcyclohexanol (III), which by oxidation with KMnO4 in water containing Na2CO3 is converted into 2-phenyl-2-hydroxycyclohexanecarboxylic acid (IV). The reduction of (IV) with H2 over PtO2 in acetic acid at 80 C and 22 Kg/cm2 affords 2-cyclohexyl-2-hydroxycyclohexanecarboxylic acid (V) (1,2), which is esterified with 1-bromo-2-propanol (VI) by means of 85% H2SO4 yielding 1-bromoisopropyl-2-cyclohexyl-2-hydroxycyclohexanecarboxylate (VII). Finally this compound is treated with diethylamine (VIII) and triethylamine at 120 C (2).

Drug Information Express,Drug R&D,Chemical Database,Patent Search.
Copyright © 2006-2026 Drug Future. All rights reserved.Contact Us