【药物名称】Tioxidazole, Sch-21480
化学结构式(Chemical Structure):
参考文献No.900357
标题:
作者:Nafissi-Varchei, M.M.
来源:BE 840945; DE 2617198; FR 2308363; JP 76128966; NL 7604149; US 4006242
合成路线图解说明:

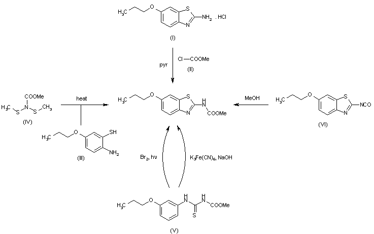
It can be prepared in four different ways: 1) By condensation of 2-amino-6-propoxybenzothiazole hydrochloride (I) with methyl chloroformate (II) by means of pyridine. 2) By cyclization of 2-mercapto-4-propoxyaniline (III) with methyl N-[di(methylthio) methylene]carbamate (IV) in refluxing ethanol. 3) By cyclization of 1-carbomethoxy-3-(m-propoxyphenyl)thiourea (V) by means of Br2 and ultraviolet light in chloroform, or by means of potassium ferricyanide and NaOH in hot water. 4) By treatment of 6-propoxybenzothiazole-2-isocyanate (VI) with methanol.

参考文献No.950106
标题:Tioxidazole
作者:Casta馿r, J.; Hillier, H.
来源:Drugs Fut 1979,4(1),55
合成路线图解说明:

It can be prepared in four different ways: 1) By condensation of 2-amino-6-propoxybenzothiazole hydrochloride (I) with methyl chloroformate (II) by means of pyridine. 2) By cyclization of 2-mercapto-4-propoxyaniline (III) with methyl N-[di(methylthio) methylene]carbamate (IV) in refluxing ethanol. 3) By cyclization of 1-carbomethoxy-3-(m-propoxyphenyl)thiourea (V) by means of Br2 and ultraviolet light in chloroform, or by means of potassium ferricyanide and NaOH in hot water. 4) By treatment of 6-propoxybenzothiazole-2-isocyanate (VI) with methanol.

Drug Information Express,Drug R&D,Chemical Database,Patent Search.
Copyright © 2006-2026 Drug Future. All rights reserved.Contact Us