【药物名称】Plafibride, ITA-104
化学结构式(Chemical Structure):
参考文献No.900356
标题:
作者:Iniesta, J.
来源:DE 2716374; ES 447114
合成路线图解说明:

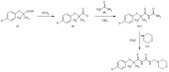
The reaction of 2-(p-chlorophenoxy)isobutyric acid (I) with SOCl2 gives the corresponding acyl chloride (II) which is condensed with urea (III) in refluxing benzene yielding 2-(p-chlorophenoxy)isobutyrylurea (IV). The aminomethylation of (IV) with formaldehyde and morpholine (V) affords N-2-(p-chlorophenoxy)isobutyryl-N'-morpholinomethylurea which can be further purified through hydrochloride salt.

参考文献No.950105
标题:Plafibride
作者:Ribalta, M.; Bruseghini, L.
来源:Drugs Fut 1979,4(1),42
合成路线图解说明:

The reaction of 2-(p-chlorophenoxy)isobutyric acid (I) with SOCl2 gives the corresponding acyl chloride (II) which is condensed with urea (III) in refluxing benzene yielding 2-(p-chlorophenoxy)isobutyrylurea (IV). The aminomethylation of (IV) with formaldehyde and morpholine (V) affords N-2-(p-chlorophenoxy)isobutyryl-N'-morpholinomethylurea which can be further purified through hydrochloride salt.

Drug Information Express,Drug R&D,Chemical Database,Patent Search.
Copyright © 2006-2026 Drug Future. All rights reserved.Contact Us