【药物名称】Cinecromen, TVX-2656
化学结构式(Chemical Structure):
参考文献No.900355
标题:
作者:Boltze, K.; et al.
来源:BE 843810; DE 2530405; FR 2316939; JP 7725777; NL 7607494
合成路线图解说明:

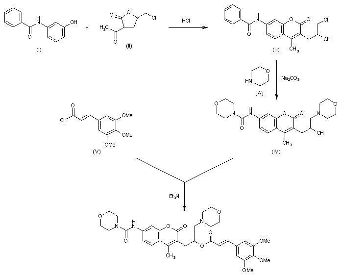
The cyclization of phenyl 3-hydroxyphenylcarbamate (I) with 3-acetyl-5-chloromethyl-2-oxotetrahydrofurane (II) by means of HCl in ethanol - DMF gives phenyl N-[3-(3-chloro-2-hydroxypropyl)-4-methyl-2-oxo-2H-1-benzopyran-7-yl]carbamate (III), which by reaction with morpholine (A) by means of sodium carbonate in refluxing chlorobenzene is converted into 3-(2-hydroxy-3-morpholinopropyl)-4-methyl-7-(4-morpholinocarboxamido)coumarin (IV). Finally this compound is esterified with 3,4,5-trimethoxycinnamoyl chloride (V) by means of triethylamine in acetone - HMPT.

参考文献No.950104
标题:Cinecromen
作者:Casta馿r, J.; Hillier, H.
来源:Drugs Fut 1979,4(1),15
合成路线图解说明:

The cyclization of phenyl 3-hydroxyphenylcarbamate (I) with 3-acetyl-5-chloromethyl-2-oxotetrahydrofurane (II) by means of HCl in ethanol - DMF gives phenyl N-[3-(3-chloro-2-hydroxypropyl)-4-methyl-2-oxo-2H-1-benzopyran-7-yl]carbamate (III), which by reaction with morpholine (A) by means of sodium carbonate in refluxing chlorobenzene is converted into 3-(2-hydroxy-3-morpholinopropyl)-4-methyl-7-(4-morpholinocarboxamido)coumarin (IV). Finally this compound is esterified with 3,4,5-trimethoxycinnamoyl chloride (V) by means of triethylamine in acetone - HMPT.

Drug Information Express,Drug R&D,Chemical Database,Patent Search.
Copyright © 2006-2026 Drug Future. All rights reserved.Contact Us