【药物名称】Oxapadol, MD-720111
化学结构式(Chemical Structure):
参考文献No.900352
标题:
作者:Fauran, C.; et al.
来源:BE 820626; CA 1038380; CA 1047501; CH 591495; DE 2444194; FR 2257269; GB 1428597; JP 7559397; NL 7412989; US 3951968; ZA 7406096
合成路线图解说明:

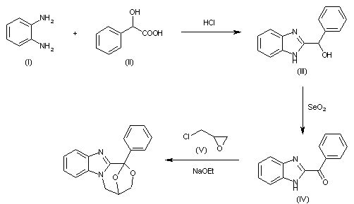
The cyclization of o-phenylenediamine (I) with alpha-hydroxyphenylacetic acid (II) in refluxing aqueous HCl gives 2-(alpha-hydroxybenzyl)benzimidazol (III), which is oxidized with SeO2 in refluxing acetic acid yielding 2-benzoylbenzimidazol (lV). Finally this compound is cyclized with epichlorohydrin (V) by means of sodium ethoxide in refluxing ethanol.

参考文献No.950099
标题:Oxapadol
作者:Blancafort, P.; Serradell, M.N.; Casta馿r, J.; Paton, D.M.
来源:Drugs Fut 1980,5(10),502
合成路线图解说明:

The cyclization of o-phenylenediamine (I) with alpha-hydroxyphenylacetic acid (II) in refluxing aqueous HCl gives 2-(alpha-hydroxybenzyl)benzimidazol (III), which is oxidized with SeO2 in refluxing acetic acid yielding 2-benzoylbenzimidazol (lV). Finally this compound is cyclized with epichlorohydrin (V) by means of sodium ethoxide in refluxing ethanol.

Drug Information Express,Drug R&D,Chemical Database,Patent Search.
Copyright © 2006-2026 Drug Future. All rights reserved.Contact Us