【药物名称】Fluretofen, Compound 93,819
化学结构式(Chemical Structure):
参考文献No.900349
标题:
作者:Lacefield, W.B.; Marshall, W.S.
来源:US 3968251
合成路线图解说明:

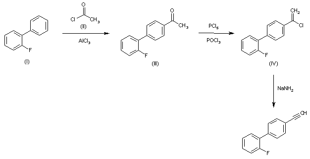
The Friedel-Crafts reaction of 2-fluorobiphenyl (I) with acetyl chloride (II) by means of AlCl3 in refluxing CS2 gives 4-(2-fluorophenyl)acetophenone (III) (1,2), which by reaction with PCl5 in POCl3 at 60 C is converted into 4-(2-fluorophenyl)-alpha-chlorostyrene (IV). Finally this compound is treadted with NaNH2 in liquid NH3.

参考文献No.900350
标题:
作者:Lacefield, W.B.; Marshall, W.S.
来源:US 3928604
合成路线图解说明:

The Friedel-Crafts reaction of 2-fluorobiphenyl (I) with acetyl chloride (II) by means of AlCl3 in refluxing CS2 gives 4-(2-fluorophenyl)acetophenone (III) (1,2), which by reaction with PCl5 in POCl3 at 60 C is converted into 4-(2-fluorophenyl)-alpha-chlorostyrene (IV). Finally this compound is treadted with NaNH2 in liquid NH3.

参考文献No.900351
标题:
作者:Marshall, W.S.; Pfeifer, W.
来源:BE 823810; DE 2459452; FR 2255892; JP 7596547; NL 7416851; US 3991212
合成路线图解说明:

The Friedel-Crafts reaction of 2-fluorobiphenyl (I) with acetyl chloride (II) by means of AlCl3 in refluxing CS2 gives 4-(2-fluorophenyl)acetophenone (III) (1,2), which by reaction with PCl5 in POCl3 at 60 C is converted into 4-(2-fluorophenyl)-alpha-chlorostyrene (IV). Finally this compound is treadted with NaNH2 in liquid NH3.

参考文献No.950098
标题:Fluretofen
作者:Blancafort, P.; Serradell, M.N.; Casta馿r, J.; Leeson, P.A.; Mealy, N.E.
来源:Drugs Fut 1980,5(10),490
合成路线图解说明:

The Friedel-Crafts reaction of 2-fluorobiphenyl (I) with acetyl chloride (II) by means of AlCl3 in refluxing CS2 gives 4-(2-fluorophenyl)acetophenone (III) (1,2), which by reaction with PCl5 in POCl3 at 60 C is converted into 4-(2-fluorophenyl)-alpha-chlorostyrene (IV). Finally this compound is treadted with NaNH2 in liquid NH3.

Drug Information Express,Drug R&D,Chemical Database,Patent Search.
Copyright © 2006-2026 Drug Future. All rights reserved.Contact Us