【药物名称】Supimide, CG-3033
化学结构式(Chemical Structure):
参考文献No.900346
标题:
作者:Graudums, I.; et al.
来源:BE 796167; CA 982586; CH 581652; CH 583733; CH 590861; DE 2210166; FR 2174924; GB 1377896; JP 73103572; JP 76125076; JP 76125077; JP 7620510; JP 7734625; JP 7734626; NL 7301783; US 3951985; US 4067985; ZA 7300468
合成路线图解说明:

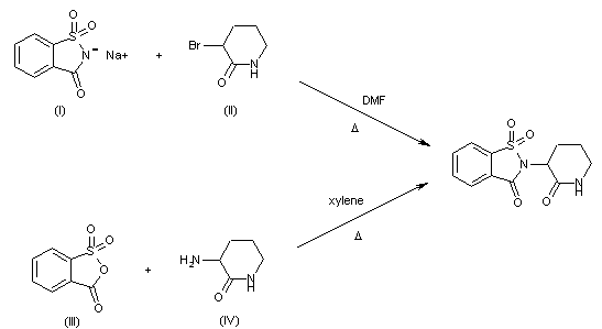
This compound can be prepared in two different ways: 1) By condensation of the sodium salt of o-sulfobenzoylimide (I) with 3-bromo-2-piperidone (II) in refluxing DMF (1). 2) By condensation of o-sulfobenzoic acid anhydride (III) with 3-amino-2-piperidone (IV) in refluxing xylene (2).

参考文献No.900347
标题:
作者:Graudums, I.
来源:DE 2329309
合成路线图解说明:

This compound can be prepared in two different ways: 1) By condensation of the sodium salt of o-sulfobenzoylimide (I) with 3-bromo-2-piperidone (II) in refluxing DMF (1). 2) By condensation of o-sulfobenzoic acid anhydride (III) with 3-amino-2-piperidone (IV) in refluxing xylene (2).

参考文献No.950094
标题:Supidime
作者:Blancafort, P.; Serradell, M.N.; Casta馿r, J.; Woodhouse, R.J.
来源:Drugs Fut 1980,5(9),449
合成路线图解说明:

This compound can be prepared in two different ways: 1) By condensation of the sodium salt of o-sulfobenzoylimide (I) with 3-bromo-2-piperidone (II) in refluxing DMF (1). 2) By condensation of o-sulfobenzoic acid anhydride (III) with 3-amino-2-piperidone (IV) in refluxing xylene (2).

Drug Information Express,Drug R&D,Chemical Database,Patent Search.
Copyright © 2006-2026 Drug Future. All rights reserved.Contact Us