【药物名称】Oxendolone, TSAA-291, Prostetin
化学结构式(Chemical Structure):
参考文献No.900343
标题:
作者:Hiraga, K.; et al.
来源:BE 761279; CA 945140; CH 577527; DE 2100319; FR 2081417; GB 1342042; JP 7416856; NL 7100131; US 3856829
合成路线图解说明:

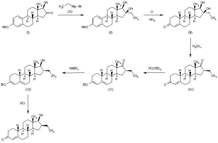
This compound can be prepared in several different ways: 1) The Grignard reaction of 3-methoxy-17beta-hydroxyestra-1,3,5(10)-trien-16-one (I) with ethyl magnesium bromide (A) in ether gives 3-methoxy-16alpha-ethylestra-1,3,5(10)-trien-16beta,17beta-diol (II), which by a Birch reduction with Li in liquid NH3 is converted into 16alpha-ethyl-16beta,17beta-dihydroxyestr4-en-3-one (III). The dehydration of (III) with H2SO4 in methanol yields 16-ethylestr-4-en-3,17-dione (VI), which by reaction with triethyl orthoformate in dioxane catalyzed by p-toluenesulfonic acid is converted into 3-ethoxy-16beta-ethylestra-3,5-diene-17-one (V). The reduction of (V) with NaBH4 in methanol affords 3-ethoxy-16beta-ethylestra-3,5-diene-17-ol (VI), which is finally hydrolyzed with HCl in methanol.

参考文献No.900344
标题:
作者:Hiraga, K.; et al.
来源:JP 7434982
合成路线图解说明:

This compound can be prepared in several different ways: 1) The Grignard reaction of 3-methoxy-17beta-hydroxyestra-1,3,5(10)-trien-16-one (I) with ethyl magnesium bromide (A) in ether gives 3-methoxy-16alpha-ethylestra-1,3,5(10)-trien-16beta,17beta-diol (II), which by a Birch reduction with Li in liquid NH3 is converted into 16alpha-ethyl-16beta,17beta-dihydroxyestr4-en-3-one (III). The dehydration of (III) with H2SO4 in methanol yields 16-ethylestr-4-en-3,17-dione (VI), which by reaction with triethyl orthoformate in dioxane catalyzed by p-toluenesulfonic acid is converted into 3-ethoxy-16beta-ethylestra-3,5-diene-17-one (V). The reduction of (V) with NaBH4 in methanol affords 3-ethoxy-16beta-ethylestra-3,5-diene-17-ol (VI), which is finally hydrolyzed with HCl in methanol.

参考文献No.900345
标题:
作者:Yoshioka, K.; et al.
来源:JP 7434983
合成路线图解说明:

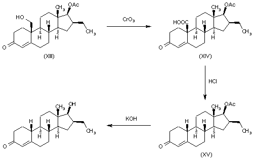
The oxidation of 19-hydroxy-16beta-ethyl-17beta-acetoxyandrost-4-en-3-one (XIII) with CrO3 and H2SO4 gives the corresponding carboxylic acid (XIV), which is decarboxylated with HCl in refluxing methanol affording 16beta-ethyl-17beta-acetoxyestra-4-en-3-one (XV). Finally this compound is hydrolyzed with KOH in refluxing methano.l

参考文献No.950090
标题:Oxendolone
作者:Blancafort, P.; Serradell, M.N.; Casta馿r, J.; Thorpe, P.J.
来源:Drugs Fut 1980,5(9),441
合成路线图解说明:

This compound can be prepared in several different ways: 1) The Grignard reaction of 3-methoxy-17beta-hydroxyestra-1,3,5(10)-trien-16-one (I) with ethyl magnesium bromide (A) in ether gives 3-methoxy-16alpha-ethylestra-1,3,5(10)-trien-16beta,17beta-diol (II), which by a Birch reduction with Li in liquid NH3 is converted into 16alpha-ethyl-16beta,17beta-dihydroxyestr4-en-3-one (III). The dehydration of (III) with H2SO4 in methanol yields 16-ethylestr-4-en-3,17-dione (VI), which by reaction with triethyl orthoformate in dioxane catalyzed by p-toluenesulfonic acid is converted into 3-ethoxy-16beta-ethylestra-3,5-diene-17-one (V). The reduction of (V) with NaBH4 in methanol affords 3-ethoxy-16beta-ethylestra-3,5-diene-17-ol (VI), which is finally hydrolyzed with HCl in methanol.

合成路线图解说明:

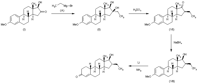
The Grignard reaction of 3-methoxy-17beta-hydroxyestra-1,3,5(10)-trien-16-one (I) with ethyl magnesium bromide (A) in ether gives 3-methoxy-16alpha-ethylestra-1,3,5(10)-trien-16beta,17beta-diol (II), which by dehydration with H2SO4 in methanol gives 16beta-ethyl-3-methoxyestra-1,3,5(10)-trien-17-one (VII), which is reduced with NaBH4 in methanol yielding 16beta-ethyl-3-methoxyestra-1,3,5(10)-trien-17beta-ol (VIII). Finally this compound is submitted to a Birch reduction with Li in liquid NH3.

合成路线图解说明:

The methylation of estrone (IX) with methyl sulfate gives estrone 3-methyl ether (X), which is acetylated with ethyl acetate and sodium methoxide in DMSO yielding 16-acetylestrone-3-methyl ether (XI). The reaction of (XI) with acetic anhydride in pyridine at 65 C gives 16-(1'-acetoxyethylidene)estrone-3-methyl ether (XII), which is finally reduced with H2 over Raney-Ni in ethanol affording 16beta-ethyl-3-methoxyestra-1,3,5(10)-trien-17beta-ol (VIII). Finally this compound is submitted to a Birch reduction with Li in liquid NH3.

合成路线图解说明:

The oxidation of 19-hydroxy-16beta-ethyl-17beta-acetoxyandrost-4-en-3-one (XIII) with CrO3 and H2SO4 gives the corresponding carboxylic acid (XIV), which is decarboxylated with HCl in refluxing methanol affording 16beta-ethyl-17beta-acetoxyestra-4-en-3-one (XV). Finally this compound is hydrolyzed with KOH in refluxing methano.l

参考文献No.950091
标题:A stereoselective nuclear magnetic resonance spectral study of four epimeric 17-hidroxy-16-ethylestranes
作者:Goto, G.; et al.
来源:Chem Pharm Bull 1977,25(6),1295-1301
合成路线图解说明:

The Grignard reaction of 3-methoxy-17beta-hydroxyestra-1,3,5(10)-trien-16-one (I) with ethyl magnesium bromide (A) in ether gives 3-methoxy-16alpha-ethylestra-1,3,5(10)-trien-16beta,17beta-diol (II), which by dehydration with H2SO4 in methanol gives 16beta-ethyl-3-methoxyestra-1,3,5(10)-trien-17-one (VII), which is reduced with NaBH4 in methanol yielding 16beta-ethyl-3-methoxyestra-1,3,5(10)-trien-17beta-ol (VIII). Finally this compound is submitted to a Birch reduction with Li in liquid NH3.

参考文献No.950092
标题:Synthesis and antiandrogenic activity of 16B-substituted-17B-hydroxysteroids
作者:Goto, G.
来源:Ibid 1978,26(6),1718-1728
合成路线图解说明:

The Grignard reaction of 3-methoxy-17beta-hydroxyestra-1,3,5(10)-trien-16-one (I) with ethyl magnesium bromide (A) in ether gives 3-methoxy-16alpha-ethylestra-1,3,5(10)-trien-16beta,17beta-diol (II), which by dehydration with H2SO4 in methanol gives 16beta-ethyl-3-methoxyestra-1,3,5(10)-trien-17-one (VII), which is reduced with NaBH4 in methanol yielding 16beta-ethyl-3-methoxyestra-1,3,5(10)-trien-17beta-ol (VIII). Finally this compound is submitted to a Birch reduction with Li in liquid NH3.

参考文献No.950093
标题:Studies and antiandrogenic activity of 16B-ethyl-19-nortesterone
作者:Yoshioka, K.; et al.
来源:Ibid 1975,23(12),3203-3207
合成路线图解说明:

The methylation of estrone (IX) with methyl sulfate gives estrone 3-methyl ether (X), which is acetylated with ethyl acetate and sodium methoxide in DMSO yielding 16-acetylestrone-3-methyl ether (XI). The reaction of (XI) with acetic anhydride in pyridine at 65 C gives 16-(1'-acetoxyethylidene)estrone-3-methyl ether (XII), which is finally reduced with H2 over Raney-Ni in ethanol affording 16beta-ethyl-3-methoxyestra-1,3,5(10)-trien-17beta-ol (VIII). Finally this compound is submitted to a Birch reduction with Li in liquid NH3.

Drug Information Express,Drug R&D,Chemical Database,Patent Search.
Copyright © 2006-2026 Drug Future. All rights reserved.Contact Us