【药物名称】Piridicillin sodium, CL-867
化学结构式(Chemical Structure):
参考文献No.900338
标题:
作者:Kaltenbronn, J.S.; et al.
来源:BE 867778; DE 2824341; FR 2392999; JP 7916496; NL 7806038; US 4101661; US 4137408
合成路线图解说明:

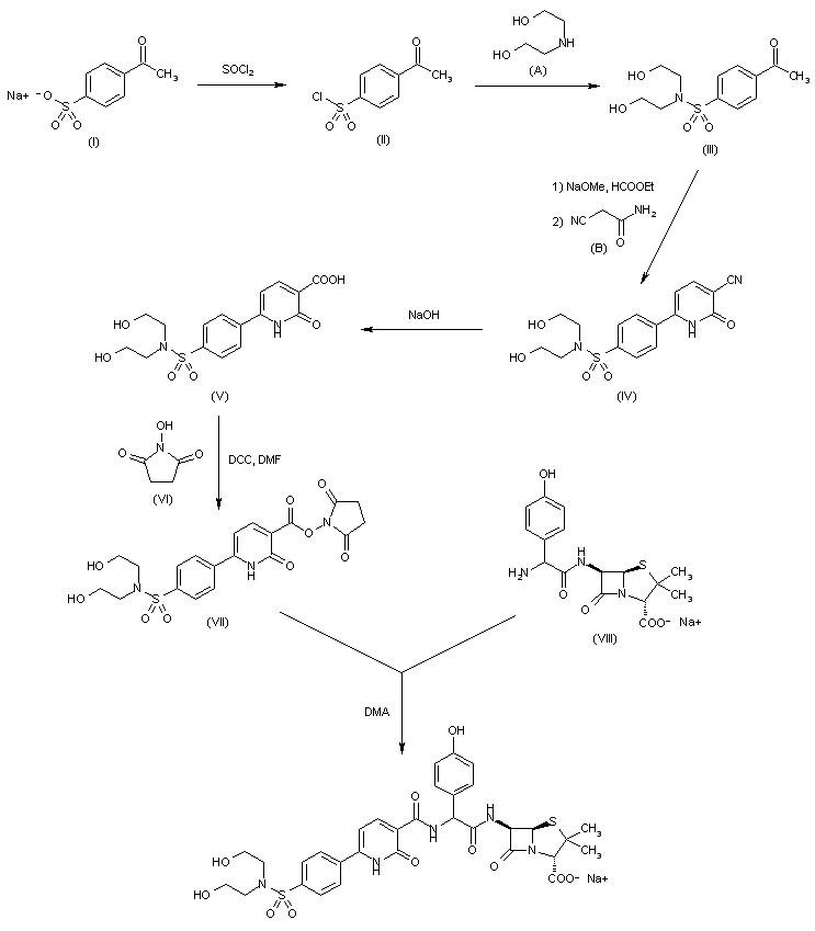
The reaction of sodium 4-acetylbenzenesulfonate (I) with SOCl2 in DMF gives 4-acetylbenzenesulfonyl chloride (II), which by condensation with diethanolamine (A) in water is convereted into 4-acetyl-N,N-bis(2-hydroxyethyl)benzenesulfonamide (III). The cyclization of (III) by treatment first with ethyl formate and sodium methoxide in THF and then with cyanoacetamide (B) in the same solvent yields 6-[4-bis(2-hydroxyethyl) aminosulfonylphenyl]-1,2-dihydro-2-oxonicotinonitrile (IV), which is hydrolyzed with NaOH in water at 105 C in a pressure vessel to afford 6-[4-bis(2-hydroxyethyl) aminosulfonylphenyl]-1,2-dihydro-2-oxonicotinic acid (V). The especification of (V) with N-hydroxysucinimide (VI) by means of dicyclohexylcarbodiimide (VI) in DMF gives the corresponding activated ester (VII). Finally this compound is condensed with amoxicillin (6-[1-amino-(4-hydroxyphenyl)acetylamino]penicillanic acid) (VIII) in dimethylacetamide.

参考文献No.950084
标题:CI-867, a new broad-spectrum semisynthetic penicillin
作者:Kaltenbronn, J.S.; et al.
来源:J Antibiot 1979,32621-625
合成路线图解说明:

The reaction of sodium 4-acetylbenzenesulfonate (I) with SOCl2 in DMF gives 4-acetylbenzenesulfonyl chloride (II), which by condensation with diethanolamine (A) in water is convereted into 4-acetyl-N,N-bis(2-hydroxyethyl)benzenesulfonamide (III). The cyclization of (III) by treatment first with ethyl formate and sodium methoxide in THF and then with cyanoacetamide (B) in the same solvent yields 6-[4-bis(2-hydroxyethyl) aminosulfonylphenyl]-1,2-dihydro-2-oxonicotinonitrile (IV), which is hydrolyzed with NaOH in water at 105 C in a pressure vessel to afford 6-[4-bis(2-hydroxyethyl) aminosulfonylphenyl]-1,2-dihydro-2-oxonicotinic acid (V). The especification of (V) with N-hydroxysucinimide (VI) by means of dicyclohexylcarbodiimide (VI) in DMF gives the corresponding activated ester (VII). Finally this compound is condensed with amoxicillin (6-[1-amino-(4-hydroxyphenyl)acetylamino]penicillanic acid) (VIII) in dimethylacetamide.

参考文献No.950085
标题:Piridicillin Sodium
作者:Blancafort, P.; Serradell, M.N.; Casta馿r, J.; Sweetman, A.J.
来源:Drugs Fut 1980,5(4),195
合成路线图解说明:

The reaction of sodium 4-acetylbenzenesulfonate (I) with SOCl2 in DMF gives 4-acetylbenzenesulfonyl chloride (II), which by condensation with diethanolamine (A) in water is convereted into 4-acetyl-N,N-bis(2-hydroxyethyl)benzenesulfonamide (III). The cyclization of (III) by treatment first with ethyl formate and sodium methoxide in THF and then with cyanoacetamide (B) in the same solvent yields 6-[4-bis(2-hydroxyethyl) aminosulfonylphenyl]-1,2-dihydro-2-oxonicotinonitrile (IV), which is hydrolyzed with NaOH in water at 105 C in a pressure vessel to afford 6-[4-bis(2-hydroxyethyl) aminosulfonylphenyl]-1,2-dihydro-2-oxonicotinic acid (V). The especification of (V) with N-hydroxysucinimide (VI) by means of dicyclohexylcarbodiimide (VI) in DMF gives the corresponding activated ester (VII). Finally this compound is condensed with amoxicillin (6-[1-amino-(4-hydroxyphenyl)acetylamino]penicillanic acid) (VIII) in dimethylacetamide.

Drug Information Express,Drug R&D,Chemical Database,Patent Search.
Copyright © 2006-2026 Drug Future. All rights reserved.Contact Us