【药物名称】Arprinocid, MK-302, Arpocox Pom
化学结构式(Chemical Structure):
参考文献No.900333
标题:
作者:Vander Zwan, M.C.; et al.
来源:BE 863570; DE 2804723; FR 2379536; JP 78124294; NL 7800896; US 4098787; US 4100159; US 4127721; ZA 7800711
合成路线图解说明:

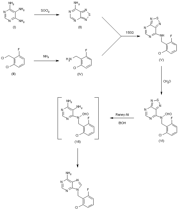
This compound can be obtained in two different ways: 1) The reaction of 4,5,6-triaminopyrimidine (I) with refluxing SOCl2 gives 7-amino[1,2,5]thiadiazolo[3,4-d]pyrimidine (II). The reaction of 2-chloro-6-fluorobenzyl chloride (III) with ammonia in benzene affords 2-chloro-6-fluorobenzylamine (IV), which is condensed with (II) by heating at 150 C to yield 7-(2-chloro-6-fluorobenzyl)amino[1,2,5]thiadiazolo[3,4-d]pyrimidine (V). The formylation of (V) with formic acid in acetic anhydride gives 7-[N-formyl-N-(2-chloro-6-fluoro-benzyl)]amino[1,2,5]thiadiazolo[3,4-d]pyrimidine (VI), which by desulfuration with Raney-Ni in ethanol - water gives 4-[N-formyl-N-(2-chloro-6-fluorobenzyl)]amino-5,6-diaminopyrimidine (VII), product not isolated that dehydrates spontaneously to arprinocid.

合成路线图解说明:

2) By condensation of 2-chloro-6-fluorobenzyl chloride (III) with adenine (VIII) by means of Aliquat 336 in hexane - water, acetone or hexamethyl phosphoramide.

参考文献No.950079
标题:New synthesis of a 9-substituted adenine
作者:Hartman, G.D.
来源:J Org Chem 1978,43(5),960-962
合成路线图解说明:

This compound can be obtained in two different ways: 1) The reaction of 4,5,6-triaminopyrimidine (I) with refluxing SOCl2 gives 7-amino[1,2,5]thiadiazolo[3,4-d]pyrimidine (II). The reaction of 2-chloro-6-fluorobenzyl chloride (III) with ammonia in benzene affords 2-chloro-6-fluorobenzylamine (IV), which is condensed with (II) by heating at 150 C to yield 7-(2-chloro-6-fluorobenzyl)amino[1,2,5]thiadiazolo[3,4-d]pyrimidine (V). The formylation of (V) with formic acid in acetic anhydride gives 7-[N-formyl-N-(2-chloro-6-fluoro-benzyl)]amino[1,2,5]thiadiazolo[3,4-d]pyrimidine (VI), which by desulfuration with Raney-Ni in ethanol - water gives 4-[N-formyl-N-(2-chloro-6-fluorobenzyl)]amino-5,6-diaminopyrimidine (VII), product not isolated that dehydrates spontaneously to arprinocid.

参考文献No.950080
标题:Arprinocid
作者:Blancafort, P.; Serradell, M.N.; Casta馿r, J.; Leeson, P.A.; Mealy, N.E.
来源:Drugs Fut 1980,5(7),332
合成路线图解说明:

This compound can be obtained in two different ways: 1) The reaction of 4,5,6-triaminopyrimidine (I) with refluxing SOCl2 gives 7-amino[1,2,5]thiadiazolo[3,4-d]pyrimidine (II). The reaction of 2-chloro-6-fluorobenzyl chloride (III) with ammonia in benzene affords 2-chloro-6-fluorobenzylamine (IV), which is condensed with (II) by heating at 150 C to yield 7-(2-chloro-6-fluorobenzyl)amino[1,2,5]thiadiazolo[3,4-d]pyrimidine (V). The formylation of (V) with formic acid in acetic anhydride gives 7-[N-formyl-N-(2-chloro-6-fluoro-benzyl)]amino[1,2,5]thiadiazolo[3,4-d]pyrimidine (VI), which by desulfuration with Raney-Ni in ethanol - water gives 4-[N-formyl-N-(2-chloro-6-fluorobenzyl)]amino-5,6-diaminopyrimidine (VII), product not isolated that dehydrates spontaneously to arprinocid.

合成路线图解说明:

2) By condensation of 2-chloro-6-fluorobenzyl chloride (III) with adenine (VIII) by means of Aliquat 336 in hexane - water, acetone or hexamethyl phosphoramide.

Drug Information Express,Drug R&D,Chemical Database,Patent Search.
Copyright © 2006-2026 Drug Future. All rights reserved.Contact Us