【药物名称】Bufezolac, LM-22070
化学结构式(Chemical Structure):
参考文献No.900329
标题:
作者:Gueremy, C.; Renault, C.
来源:BE 796465; GB 1387306; US 3984731
合成路线图解说明:

It can be prepared in two different ways: 1) The reaction of maleic anhydride (I) with methanol gives the monoethyl ester of maleic acid (II), which by addition of isobutylamine (III) by means of triethylamine gives rise to N-isobutyl-omega-methylaspartate (IV). The nitrosation of (IV) with NaNO2 and HCl in water yields N-isobutyl-N-nitroso-omega-methylaspartate (V), which by cyclization using perchloric in acetic anhydride is converted into methyl 3-isobutyl-4-sydnonylacetate (VI), which by cycloaddition with diphenylacetylene (VII) in refluxing xylene, followed by hydrolysis with NaOH in refluxing acetone - water affords the final product LM-22070.

合成路线图解说明:

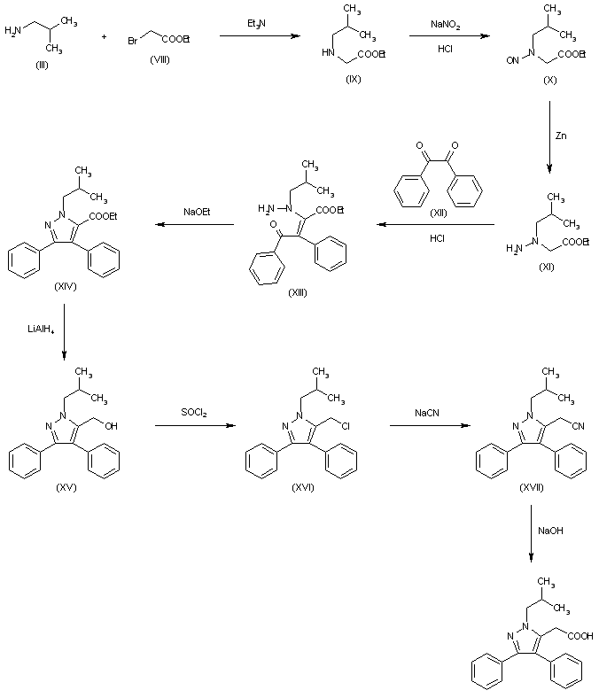
2) The reaction of isobutylamine (III) with ethyl bromoacetate (VIII) by means of triethylamine in benzene gives ethyl isobutylaminoacetate (IX), which by nitrosation with NaNO2 and HCl in water is converted into ethyl N-nitroso-N-isobutylaminoacetate (X). The reduction of (X) with Zn in ethanol - water affords ethyl N1-isobutylhydrazinoacetate (XI), which is condensed with benzyl (XII) by means of HCl - sodium acetate in refluxing ethanol - water to afford ethyl alpha-benzoylbenzyliden-N1-isobutylhydrazinoacetate (XIII). The cyclization of (XIII) by means of sodium ethoxide in refluxing ethanol gives rise to ethyl 1-isobutyl-3,4-diphenylpyrazole-5-carboxylate (XIV), which is reduced with LiAlH4 in ether to yield ethyl 1-isobutyl-3,4-diphenyl-5-(hydroxymethyl)pyrazole (XV). The reaction of (XV) with SOCl2 in refluxing chloroform gives 1-isobutyl-3,4-diphenyl-5-(chloromethyl)pyrazole (XVI), which by reaction with NaCN in hot DMSO is converted into 1-isobutyl-3,4-diphenylpyrazole-5-acetonitrile (XVII). Finally this compound is hydrolyzed by means of NaOH in refluxing aqueous ethanol.

参考文献No.950073
标题:Bufezolac
作者:Blancafort, P.; Serradell, M.N.; Casta馿r, J.; Arrigoni, Martelli, E.
来源:Drugs Fut 1980,5(1),19
合成路线图解说明:

It can be prepared in two different ways: 1) The reaction of maleic anhydride (I) with methanol gives the monoethyl ester of maleic acid (II), which by addition of isobutylamine (III) by means of triethylamine gives rise to N-isobutyl-omega-methylaspartate (IV). The nitrosation of (IV) with NaNO2 and HCl in water yields N-isobutyl-N-nitroso-omega-methylaspartate (V), which by cyclization using perchloric in acetic anhydride is converted into methyl 3-isobutyl-4-sydnonylacetate (VI), which by cycloaddition with diphenylacetylene (VII) in refluxing xylene, followed by hydrolysis with NaOH in refluxing acetone - water affords the final product LM-22070.

合成路线图解说明:

2) The reaction of isobutylamine (III) with ethyl bromoacetate (VIII) by means of triethylamine in benzene gives ethyl isobutylaminoacetate (IX), which by nitrosation with NaNO2 and HCl in water is converted into ethyl N-nitroso-N-isobutylaminoacetate (X). The reduction of (X) with Zn in ethanol - water affords ethyl N1-isobutylhydrazinoacetate (XI), which is condensed with benzyl (XII) by means of HCl - sodium acetate in refluxing ethanol - water to afford ethyl alpha-benzoylbenzyliden-N1-isobutylhydrazinoacetate (XIII). The cyclization of (XIII) by means of sodium ethoxide in refluxing ethanol gives rise to ethyl 1-isobutyl-3,4-diphenylpyrazole-5-carboxylate (XIV), which is reduced with LiAlH4 in ether to yield ethyl 1-isobutyl-3,4-diphenyl-5-(hydroxymethyl)pyrazole (XV). The reaction of (XV) with SOCl2 in refluxing chloroform gives 1-isobutyl-3,4-diphenyl-5-(chloromethyl)pyrazole (XVI), which by reaction with NaCN in hot DMSO is converted into 1-isobutyl-3,4-diphenylpyrazole-5-acetonitrile (XVII). Finally this compound is hydrolyzed by means of NaOH in refluxing aqueous ethanol.

Drug Information Express,Drug R&D,Chemical Database,Patent Search.
Copyright © 2006-2026 Drug Future. All rights reserved.Contact Us