【药物名称】Fludiazepam, ID-540, Erispan
化学结构式(Chemical Structure):
参考文献No.900325
标题:
作者:Yamamoto, H.; Inaba, S.; Okamoto, T.; Hirohashi, T.; Ishizumi, K.; Yamamoto, M.; Maruyama, I.; Mori, K.; Kobayashi, T.
来源:ZA 6806061
合成路线图解说明:

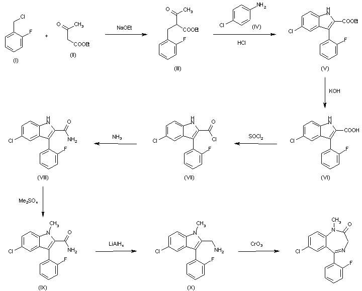
This compound can be obtained by several different ways: 1) The reaction of 2-fluorobenzyl chloride (I) with ethyl acetoacetate (II) by means of sodium ethoxide in refluxing ethanol gives ethyl 2-(2-fluorobenzyl)acetoacetate (III), which is cyclized with 4-chloroaniline (IV) in HCl - water yielding ethyl 5-chloro-3-(2-fluorophenyl)indole-2-carboxylate (V). The hydrolysis of (V) with KOH affords the corresponding free acid (VI), which by treatment with SOCl2 is converted into the acyl chloride (VII). The treatment of (VII) with dry ammonia in ether gives the carboxamide (VIII), which is methylated with dimethyl sulfate to 5-chloro-3-(2-fluorophenyl)-1-methylindole-2-carboxamido (IX). The reduction of (IX) with LiAlH4 in ether affords 2-aminomethyl-3-(2-fluorophenyl)-5-chloroindole (X) (1), which is finally oxidized and cyclized again by treatment with CrO3 in acetic acid - water.

合成路线图解说明:

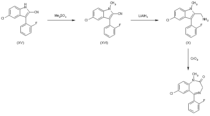
4) The methylation of 3-(2-fluorophenyl)-5-chloroindole-2-carbonitrile (XV) with dimethyl sulfate gives 3-(2-fluorophenyl)-5-chloro-1-methylindole-2-carbonitrile (XVI), which is reduced to yield 2-aminomethyl-3-(2-fluorophenyl)-5-chloroindole (X) (1), which is finally oxidized and cyclized again by treatment with CrO3 in acetic acid - water (X).

参考文献No.900326
标题:
作者:
来源:DE 1795372; DE 1795531; FR AD95814; GB 1253368; US 3723461; US 3828027; US 3925364
合成路线图解说明:

This compound can be obtained by several different ways: 1) The reaction of 2-fluorobenzyl chloride (I) with ethyl acetoacetate (II) by means of sodium ethoxide in refluxing ethanol gives ethyl 2-(2-fluorobenzyl)acetoacetate (III), which is cyclized with 4-chloroaniline (IV) in HCl - water yielding ethyl 5-chloro-3-(2-fluorophenyl)indole-2-carboxylate (V). The hydrolysis of (V) with KOH affords the corresponding free acid (VI), which by treatment with SOCl2 is converted into the acyl chloride (VII). The treatment of (VII) with dry ammonia in ether gives the carboxamide (VIII), which is methylated with dimethyl sulfate to 5-chloro-3-(2-fluorophenyl)-1-methylindole-2-carboxamido (IX). The reduction of (IX) with LiAlH4 in ether affords 2-aminomethyl-3-(2-fluorophenyl)-5-chloroindole (X) (1), which is finally oxidized and cyclized again by treatment with CrO3 in acetic acid - water.

合成路线图解说明:

4) The methylation of 3-(2-fluorophenyl)-5-chloroindole-2-carbonitrile (XV) with dimethyl sulfate gives 3-(2-fluorophenyl)-5-chloro-1-methylindole-2-carbonitrile (XVI), which is reduced to yield 2-aminomethyl-3-(2-fluorophenyl)-5-chloroindole (X) (1), which is finally oxidized and cyclized again by treatment with CrO3 in acetic acid - water (X).

参考文献No.900327
标题:
作者:Moriyama, H.; Yamamoto, H.; Nagata, H.; Inaba, S.
来源:JP 7526555
合成路线图解说明:

2) By cyclization of 2-methylamino-5-chloro-2?fluorodiphenylmethyleneimine (XI) with ethyl glycinate (XII) in refluxing pyridine.

参考文献No.900328
标题:
作者:Yamamoto, H.; Inaba, S.; Kume, Y.; Izumi, T.; Hirohashi, T.; Yamamoto, M.; Ishizumi, K.; Maruyama, I.; Akatsu, M.; Mori, K.
来源:DE 2017060; FR 2042345; GB 1309947; JP 7328437; JP 7434749; US 3778433; ZA 7002259
合成路线图解说明:

3) By cyclization of 2-methylamino-5-chloro-2?fluorobenzophenone (XIII) with 2,5-oxazolidinedione (XIV) in methylene chloride.

参考文献No.950071
标题:Synthesis and pharmacology of a novel benzodiazepine derivative, 1-methyl-5-(o-fluorophenyl)-7-chloro-1,3-dihydro-2H-1,4-benzo-diazepin-2-one (ID-540)
作者:Asami, Y.; Otsuka, M.; Hirohashi, T.; Inaba, S.; Yamamoto, H.
来源:Arzneim-Forsch 1974,24(10),1563-1568
合成路线图解说明:

This compound can be obtained by several different ways: 1) The reaction of 2-fluorobenzyl chloride (I) with ethyl acetoacetate (II) by means of sodium ethoxide in refluxing ethanol gives ethyl 2-(2-fluorobenzyl)acetoacetate (III), which is cyclized with 4-chloroaniline (IV) in HCl - water yielding ethyl 5-chloro-3-(2-fluorophenyl)indole-2-carboxylate (V). The hydrolysis of (V) with KOH affords the corresponding free acid (VI), which by treatment with SOCl2 is converted into the acyl chloride (VII). The treatment of (VII) with dry ammonia in ether gives the carboxamide (VIII), which is methylated with dimethyl sulfate to 5-chloro-3-(2-fluorophenyl)-1-methylindole-2-carboxamido (IX). The reduction of (IX) with LiAlH4 in ether affords 2-aminomethyl-3-(2-fluorophenyl)-5-chloroindole (X) (1), which is finally oxidized and cyclized again by treatment with CrO3 in acetic acid - water.

合成路线图解说明:

4) The methylation of 3-(2-fluorophenyl)-5-chloroindole-2-carbonitrile (XV) with dimethyl sulfate gives 3-(2-fluorophenyl)-5-chloro-1-methylindole-2-carbonitrile (XVI), which is reduced to yield 2-aminomethyl-3-(2-fluorophenyl)-5-chloroindole (X) (1), which is finally oxidized and cyclized again by treatment with CrO3 in acetic acid - water (X).

参考文献No.950072
标题:Fludiazepam
作者:Blancafort, P.; Serradell, M.N.; Casta馿r, J.
来源:Drugs Fut 1981,6(12),774
合成路线图解说明:

This compound can be obtained by several different ways: 1) The reaction of 2-fluorobenzyl chloride (I) with ethyl acetoacetate (II) by means of sodium ethoxide in refluxing ethanol gives ethyl 2-(2-fluorobenzyl)acetoacetate (III), which is cyclized with 4-chloroaniline (IV) in HCl - water yielding ethyl 5-chloro-3-(2-fluorophenyl)indole-2-carboxylate (V). The hydrolysis of (V) with KOH affords the corresponding free acid (VI), which by treatment with SOCl2 is converted into the acyl chloride (VII). The treatment of (VII) with dry ammonia in ether gives the carboxamide (VIII), which is methylated with dimethyl sulfate to 5-chloro-3-(2-fluorophenyl)-1-methylindole-2-carboxamido (IX). The reduction of (IX) with LiAlH4 in ether affords 2-aminomethyl-3-(2-fluorophenyl)-5-chloroindole (X) (1), which is finally oxidized and cyclized again by treatment with CrO3 in acetic acid - water.

合成路线图解说明:

2) By cyclization of 2-methylamino-5-chloro-2?fluorodiphenylmethyleneimine (XI) with ethyl glycinate (XII) in refluxing pyridine.

合成路线图解说明:

3) By cyclization of 2-methylamino-5-chloro-2?fluorobenzophenone (XIII) with 2,5-oxazolidinedione (XIV) in methylene chloride.

合成路线图解说明:

4) The methylation of 3-(2-fluorophenyl)-5-chloroindole-2-carbonitrile (XV) with dimethyl sulfate gives 3-(2-fluorophenyl)-5-chloro-1-methylindole-2-carbonitrile (XVI), which is reduced to yield 2-aminomethyl-3-(2-fluorophenyl)-5-chloroindole (X) (1), which is finally oxidized and cyclized again by treatment with CrO3 in acetic acid - water (X).

Drug Information Express,Drug R&D,Chemical Database,Patent Search.
Copyright © 2006-2026 Drug Future. All rights reserved.Contact Us