【药物名称】Ethyl dirazepate, CM-7101
化学结构式(Chemical Structure):
参考文献No.900323
标题:
作者:Demarne, H.; Hallot, A.
来源:AU 356658; BE 854249; DE 2719608; FR 2350345; FR 2350346; GB 1538165; NL 7704911; NL 7704912
合成路线图解说明:

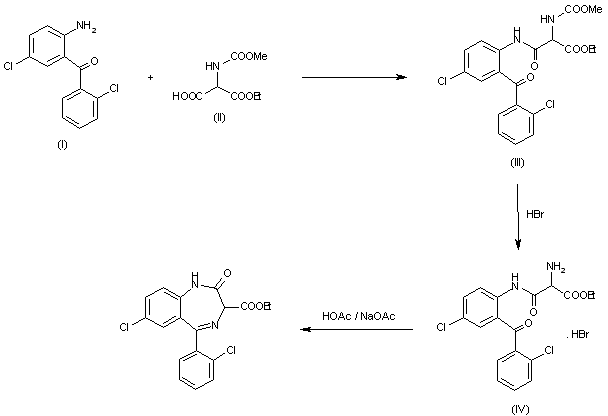
2-Amino-2?5-dichlorobenzophenone (I) is condensed with monoethyl methoxycarbonylaminomalonate (II) and the crude product obtained (III) is deprotected by HBr to give the free amine hydrobromide (IV). This product is then cyclized in a mixture of acetic acid - sodium acetate to obtain CM-7101, which is crystallized in ethanol.

参考文献No.950069
标题:Ethyl Dirazepate
作者:Dubois, M.
来源:Drugs Fut 1981,6(11),678
合成路线图解说明:

2-Amino-2?5-dichlorobenzophenone (I) is condensed with monoethyl methoxycarbonylaminomalonate (II) and the crude product obtained (III) is deprotected by HBr to give the free amine hydrobromide (IV). This product is then cyclized in a mixture of acetic acid - sodium acetate to obtain CM-7101, which is crystallized in ethanol.

Drug Information Express,Drug R&D,Chemical Database,Patent Search.
Copyright © 2006-2026 Drug Future. All rights reserved.Contact Us