【药物名称】
化学结构式(Chemical Structure):
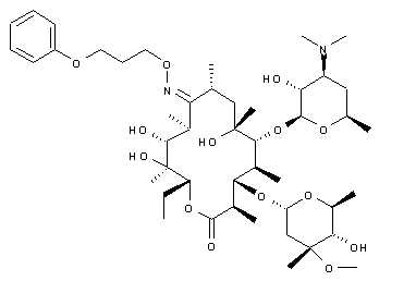
参考文献No.39662
标题:Erythromycin derivs.
作者:Yoshida, T.; Kato, H.; Nishino, H.; Kado, N.; Nishimoto, A. (Hokuriku Seiyaku Co., Ltd.)
来源:EP 1044985; JP 1999236395; WO 9929709
合成路线图解说明:

The title erythromycin O-(phenoxypropyl)oxime was prepared by alkylation of the known erythromycin A 9-oxime (I) with 3-phenoxypropyl bromide (II) under phase-transfer conditions in the presence of KOH and tetrabutylammonium iodide in THF.

参考文献No.45386
标题:Erythromycin derivs.
作者:Yoshida, T.; Narita, K.; Kato, H.; Kado, N.; Nishimoto, A. (Hokuriku Seiyaku Co., Ltd.)
来源:EP 1167375; JP 2000351794; WO 0061593
合成路线图解说明:

The title erythromycin O-(phenoxypropyl)oxime was prepared by alkylation of the known erythromycin A 9-oxime (I) with 3-phenoxypropyl bromide (II) under phase-transfer conditions in the presence of KOH and tetrabutylammonium iodide in THF.

合成路线图解说明:

The reaction of erythromycin A (I) with hydroxylamine in pyridine gives the corresponding oxime (II), which is alkylated with 3-cyclohexylpropyl bromide (III), KOH and tetrabutylammonium iodide in THF to yield the O-alkylated oxime (IV). The reaction of (IV) with Ac2O in pyridine affords the diacetoxyerythromycin A (V), which is finally selectively monodeacetylated in methanol at room temperature to provide the target 4''-O-acetyl derivative.

参考文献No.634201
标题:Studies of macrolide antibiotics I. Synthesis and antibacterial activity of erythromycin A 9-O-substituted oxime ether derivatives against Mycobacterium avium complex
作者:Nishimoto, A.; Narita, K.; Ohmoto, S.; Takahashi, Y.; Yoshizumi, S.; Yoshida, T.; Kado, N.; Okezaki, E.; Kato, H.
来源:Chem Pharm Bull 2001,49(9),1120
合成路线图解说明:

The title erythromycin O-(phenoxypropyl)oxime was prepared by alkylation of the known erythromycin A 9-oxime (I) with 3-phenoxypropyl bromide (II) under phase-transfer conditions in the presence of KOH and tetrabutylammonium iodide in THF.

Drug Information Express,Drug R&D,Chemical Database,Patent Search.
Copyright © 2006-2026 Drug Future. All rights reserved.Contact Us