【药物名称】BMS-284640
化学结构式(Chemical Structure):
参考文献No.39886
标题:Acyl guanidine sodium/proton exchange inhibitors and method
作者:Wu, S.C.; Atwal, K.S.; Dugar, S.; Ahmad, S. (Bristol-Myers Squibb Co.)
来源:EP 1041980; JP 2001527042; US 6011059; WO 9933460
合成路线图解说明:

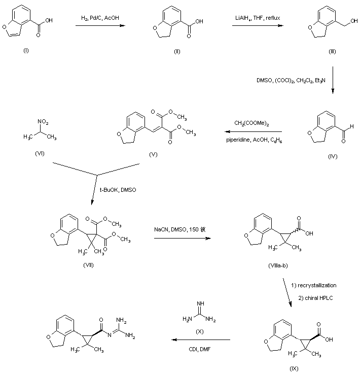
Preparation of the title compound has been reported by two procedures. Catalytic hydrogenation of benzofuran-4-carboxylic acid (I) over Pd/C afforded the dihydrobenzofuran (II). Carboxyl group reduction in (II) with LiAlH4 and further Swern oxidation of the resulting alcohol (III) furnished aldehyde (IV). Knoevenagel condensation of aldehyde (IV) with dimethyl malonate provided the benzylidenemalonate (V), which was converted to the key cyclopropane derivative (VII) upon treatment with 2-nitropropane (VI) and potassium tert-butoxide. Hydrolysis and decarboxylation of the malonate ester (VII) was performed using NaCN in hot DMSO to yield acid (VIIIa-b) as a diastereomeric mixture. Recrystallization of (VIIIa-b) from acetonitrile-water allowed the separation of the major (+/-)-trans-isomer, which was then resolved by preparative chiral HPLC. The desired (R,R)-isomer (IX) was finally coupled with guanidine (X) via activation with CDI

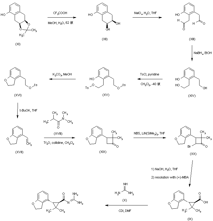
合成路线图解说明:

In a different procedure, the previously reported acetal (XI) was hydrolyzed under acidic conditions to give triol (XII). Oxidative cleavage of the cyclic diol function of (XII) by means of NaIO4 gave rise to the dialdehyde (XIII), which was further subjected to a reductive treatment with NaBH4, yielding triol (XIV). Tosylation of the aliphatic hydroxyl groups of (XIV) produced the ditosylate (XV) which, upon treatment with K2CO3 in MeOH, underwent intramolecular cyclization to the dihydrobenzofuran (XVI). Elimination of the remaining tosylate group of (XVI) in the presence of potassium tert-butoxide afforded the styrene derivative (XVII). Subsequent cycloaddition between styrene (XVII) and the enol triflate generated from N,N-dimethylisobutyramide (XVIII) produced the cyclobutanone (XIX). Halogenation of the lithium enolate of ketone (XIX) with N-bromosuccinimide in cold THF yielded the bromo ketone (XX). This underwent a Favorskii rearrangement in the presence of NaOH, producing the corresponding racemic cyclopropanecarboxylic acid, which was resolved by formation of the diastereomeric salts with (+)-alpha-methylbenzylamine. The desired (R,R)-acid (IX) was finally coupled with guanidine (X) via activation with CDI as above.

参考文献No.633497
标题:Arylcyclopropanecarboxyl guanidines as novel, potent, and selective inhibitors of the sodium hydrogen exchanger isoform-1
作者:Ahmad, S.; Doweyko, L.M.; Dugar, S.; Grazier, N.; Ngu, K.; Wu, S.C.; Yost, K.J.; Chen, B.C.; Gougoutas, J.Z.; DiMarco, J.D.; Lan, S.J.; Gavin, B.J.; Chen, A.Y.; Dorso, C.R.; Serafino, R.; Kirby, M.; Atwal, K.S.
来源:J Med Chem 2001,44(20),3302
合成路线图解说明:

Preparation of the title compound has been reported by two procedures. Catalytic hydrogenation of benzofuran-4-carboxylic acid (I) over Pd/C afforded the dihydrobenzofuran (II). Carboxyl group reduction in (II) with LiAlH4 and further Swern oxidation of the resulting alcohol (III) furnished aldehyde (IV). Knoevenagel condensation of aldehyde (IV) with dimethyl malonate provided the benzylidenemalonate (V), which was converted to the key cyclopropane derivative (VII) upon treatment with 2-nitropropane (VI) and potassium tert-butoxide. Hydrolysis and decarboxylation of the malonate ester (VII) was performed using NaCN in hot DMSO to yield acid (VIIIa-b) as a diastereomeric mixture. Recrystallization of (VIIIa-b) from acetonitrile-water allowed the separation of the major (+/-)-trans-isomer, which was then resolved by preparative chiral HPLC. The desired (R,R)-isomer (IX) was finally coupled with guanidine (X) via activation with CDI

Drug Information Express,Drug R&D,Chemical Database,Patent Search.
Copyright © 2006-2026 Drug Future. All rights reserved.Contact Us