【药物名称】
化学结构式(Chemical Structure):
参考文献No.631994
标题:An approach to the identification of potent inhibitors of influenza virus fusion using parallel synthesis methodology
作者:Deshpande, M.S.; Wei, J.; Luo, G.; Cianci, C.W.; Danetz, S.; Torri, A.; Tiley, L.; Krystal, M.; Yu, K.L.; Huang, S.; Gao, Q.; Meanwell, N.A.
来源:Bioorg Med Chem Lett 2001,11(17),2393
合成路线图解说明:

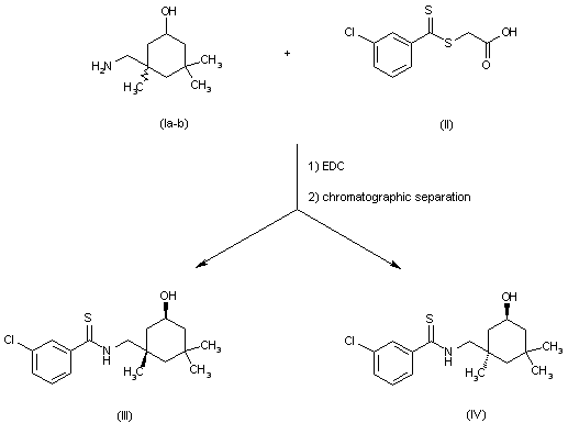
The condensation of the known amine (Ia-b) with (3-chloro-thiobenzoylsulfanyl)acetic acid (II) took place with thioester cleavage to produce a mixture of diastereomeric thioamides (III) and (IV), from which the title trans-isomer (III) was isolated by chromatography.

Drug Information Express,Drug R&D,Chemical Database,Patent Search.
Copyright © 2006-2026 Drug Future. All rights reserved.Contact Us