【药物名称】
化学结构式(Chemical Structure):
参考文献No.39411
标题:Novel pyridazine derivs. and drugs containing the same as the active ingredient
作者:Yoshizaki, H.; Habata, Y.; Kumai, N.; Kotaki, K.; Ohkuchi, M.; Ohgiya, T.; Yamazaki, Y.; Matsuda, T.; Kitamura, T.; Koshi, T.; Kyotani, Y.; Shigyo, H. (Kowa Co., Ltd.)
来源:EP 1043317; JP 1999152274; JP 2000198776; US 6348468; WO 9925697
合成路线图解说明:

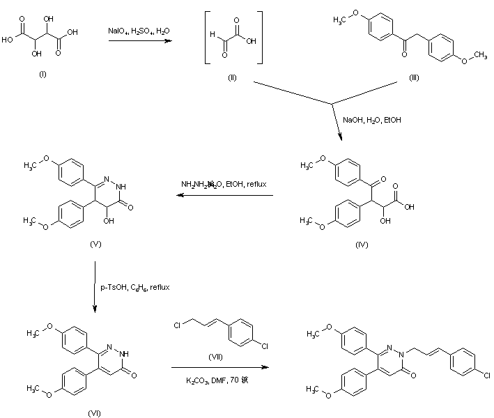
Glyoxylic acid (II), generated in situ by oxidative cleavage of tartaric acid (I) with sodium periodate, was condensed with deoxyanisoin (III) to provide the aldol adduct (IV). Cyclization of hydroxyacid (IV) with hydrazine gave rise to the hydroxy dihydropyridazinone (V), which was further dehydrated to (VI) upon treatment with p-toluenesulfonic acid in refluxing benzene. Finally, alkylation of pyridazinone (VI) with 4-chlorocinnamyl chloride (VII) in the presence of potassium carbonate furnished the title compound.

参考文献No.631995
标题:Synthesis and bioactivities of novel 5,6-bis(4-methoxyphenyl)-2H-pyridazin-3-one derivatives: Inhibitors of interleukin-1 beta (IL-1beta) production
作者:Matsuda, T.; Aoki, T.; Koshi, T.; Ohkuchi, M.; Shigyo, H.
来源:Bioorg Med Chem Lett 2001,11(17),2373
合成路线图解说明:

Glyoxylic acid (II), generated in situ by oxidative cleavage of tartaric acid (I) with sodium periodate, was condensed with deoxyanisoin (III) to provide the aldol adduct (IV). Cyclization of hydroxyacid (IV) with hydrazine gave rise to the hydroxy dihydropyridazinone (V), which was further dehydrated to (VI) upon treatment with p-toluenesulfonic acid in refluxing benzene. Finally, alkylation of pyridazinone (VI) with 4-chlorocinnamyl chloride (VII) in the presence of potassium carbonate furnished the title compound.

Drug Information Express,Drug R&D,Chemical Database,Patent Search.
Copyright © 2006-2026 Drug Future. All rights reserved.Contact Us