【药物名称】Bifeprunox mesilate, DU-127090
化学结构式(Chemical Structure):
参考文献No.34624
标题:Piperazine and piperidine cpds.
作者:Feenstra, R.W.; Kruse, C.G.; Tulp, M.T.M.; Kuipers, W.; Long, S.K. (Duphar International Research BV)
来源:JP 2000507949; US 6225312; WO 9736893
合成路线图解说明:

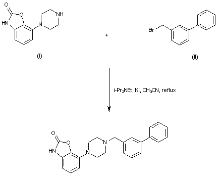
The title compound was prepared by alkylation of 7-piperazinylbenzoxazol-2(3H)-one (I) with 3-phenylbenzyl bromide (II) in the presence of diisopropyl ethyl amine and KI in refluxing acetonitrile.

参考文献No.632000
标题:New 1-aryl-4-(biarylmethylene)piperazines as potential atypical antipsychotics sharing dopamine D2-receptor and serotonin 5-HT1A-receptor affinities
作者:Feenstra, R.W.; de Moes, J.; Hofma, J.J.; Kling, H.; Kuipers, W.; Long, S.K.; Tulp, M.T.M.; Van der Heyden, J.A.M.; Kruse, C.G.
来源:Bioorg Med Chem Lett 2001,11(17),2345
合成路线图解说明:

The title compound was prepared by alkylation of 7-piperazinylbenzoxazol-2(3H)-one (I) with 3-phenylbenzyl bromide (II) in the presence of diisopropyl ethyl amine and KI in refluxing acetonitrile.

Drug Information Express,Drug R&D,Chemical Database,Patent Search.
Copyright © 2006-2026 Drug Future. All rights reserved.Contact Us