【药物名称】Ferroquine, Ferrochloroquine, SSR-97193
化学结构式(Chemical Structure):
参考文献No.50936
标题:Antimalarial organometallic iron complexes
作者:Lebibi, J.; Brocard, J.; Maciejewski, L. (Universit?des Sciences et Technologies de Lille - Lille 1)
来源:WO 9635698
合成路线图解说明:

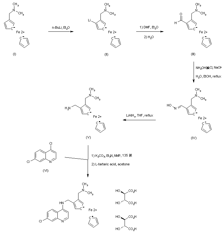
The (dimethylaminomethyl)ferrocene (I) was metalated with butyllithium and the organolithium intermediate (II) was condensed with dimethylformamide to furnish, after aqueous quenching, the ferrocenecarboxaldehyde (III). Aldehyde (III) was converted to oxime (IV) by treatment with hydroxylamine in aqueous ethanol. Reduction of oxime (IV) using LiAlH4 produced the primary amine (V). This was then condensed with 4,7-dichloroquinoline (VI) in hot NMP, and the resulting adduct was finally isolated as the L-tartrate salt.

参考文献No.633248
标题:In vitro antimalarial activity of a new organometallic analog, ferrocene-chloroquine
作者:Domarle, O.; Blampain, G.; Agnaniet, H.; Nzadiyabi, T.; Lebibi, J.; Brocard, J.; Maciejewski, L.; Biot, C.; Georges, A.J.; Millet, P.
来源:Antimicrob Agents Chemother 1998,42(3),540
合成路线图解说明:

The (dimethylaminomethyl)ferrocene (I) was metalated with butyllithium and the organolithium intermediate (II) was condensed with dimethylformamide to furnish, after aqueous quenching, the ferrocenecarboxaldehyde (III). Aldehyde (III) was converted to oxime (IV) by treatment with hydroxylamine in aqueous ethanol. Reduction of oxime (IV) using LiAlH4 produced the primary amine (V). This was then condensed with 4,7-dichloroquinoline (VI) in hot NMP, and the resulting adduct was finally isolated as the L-tartrate salt.

参考文献No.633359
标题:Synthesis an antimalarial activity in vitro and in vivo of a new ferrocene-chloroquine analogue
作者:Biot, C.; Glorian, G.; Maciejewski, L.A.; Brocard, J.S.
来源:J Med Chem 1997,40(23),3715
合成路线图解说明:

The (dimethylaminomethyl)ferrocene (I) was metalated with butyllithium and the organolithium intermediate (II) was condensed with dimethylformamide to furnish, after aqueous quenching, the ferrocenecarboxaldehyde (III). Aldehyde (III) was converted to oxime (IV) by treatment with hydroxylamine in aqueous ethanol. Reduction of oxime (IV) using LiAlH4 produced the primary amine (V). This was then condensed with 4,7-dichloroquinoline (VI) in hot NMP, and the resulting adduct was finally isolated as the L-tartrate salt.

Drug Information Express,Drug R&D,Chemical Database,Patent Search.
Copyright © 2006-2026 Drug Future. All rights reserved.Contact Us