【药物名称】
化学结构式(Chemical Structure):
参考文献No.630349
标题:2-Imino-pyrrolidine amino acids as inhibitors of human nitric oxide synthase
作者:Hagen, T.J.; et al.
来源:222nd ACS Natl Meet (Aug 26 2001, Chicago) 2001,Abst MEDI 249
合成路线图解说明:

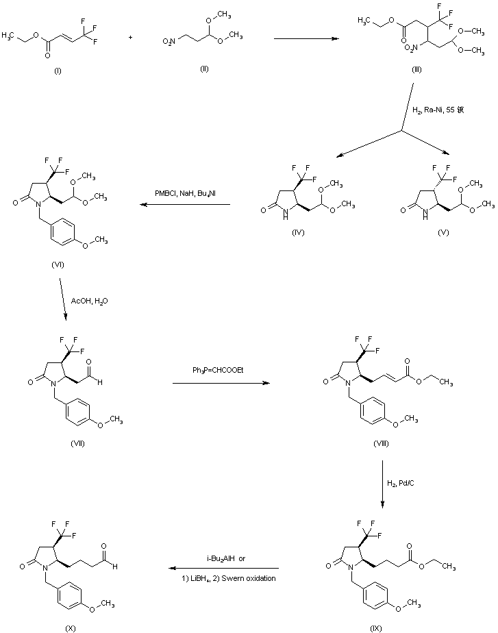
Michael addition of ethyl trifluorocrotonate (I) to 3-nitropropionaldehyde dimethyl acetal (II) gave adduct (III). Reductive cyclization of nitro ester (III) furnished a mixture of cis- (IV) and trans- (V) pyrrolidinones. The desired cis-isomer (IV) was protected by N-alkylation with p-methoxybenzyl chloride, yielding (VI). After acid hydrolysis of the acetal function of (VI), the resulting aldehyde (VII) was subjected to a Wittig reaction with ethoxycarbonylmethylene triphenylphosphorane to afford the unsaturated ester (VIII), which was further hydrogenated over of Pd/C to the saturated ester (IX). The ester function of (IX) was then converted to aldehyde (X) by either reduction with DIBAL or by reduction to alcohol, followed by Swern oxidation.

合成路线图解说明:

Horner-Emmons condensation of aldehyde (X) with Z-alpha-phosphonoglycine trimethyl ester (XI) furnished the unsaturated amino ester (XII). The required saturated compound (XIII) was then prepared by asymmetric hydrogenation of (XII) in the presence of a rhodium chiral catalyst. Removal of the p-methoxybenzyl protecting group of (XIII) was achieved by treatment with cerium ammonium nitrate yielding pyrrolidinone (XIV). Treatment of (XIV) with triethyloxonium tetrafluoroborate produced the cyclic imidate (XV), which was converted to amidine (XVI) by reaction with ammonium chloride. Finally, acid hydrolysis of the ester and carbamate groups of (XVI) provided the title compound.

Drug Information Express,Drug R&D,Chemical Database,Patent Search.
Copyright © 2006-2026 Drug Future. All rights reserved.Contact Us