【药物名称】
化学结构式(Chemical Structure):
参考文献No.52870
标题:1,2,4-Trisubstd. benzenes as inhibitors of 15-lipoxygenase
作者:Sliskovic, D.R.; Picard, J.A.; Patt, W.C.; O'Brien, P.M.; Barvian, N.C. (Pfizer Inc.)
来源:WO 0196298
合成路线图解说明:

Condensation of dodecanol (I) with chlorosulfonyl isocyanate in the presence of triethylamine afforded the chlorosulfonyl carbamate (II). Without isolation, sulfonyl chloride (II) was condensed with 5-(5,6-difluoro-1H-indol-2-yl)-2-methoxyaniline (III) to produce the title compound.

参考文献No.630359
标题:Sulfamyl inhibitors of 15-lipoxygenase
作者:Barvian, N.C.; et al.
来源:222nd ACS Natl Meet (Aug 26 2001, Chicago) 2001,Abst MEDI 270
合成路线图解说明:

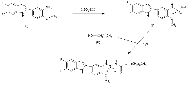
Condensation of the indolyl aniline (I) with chlorosulfonyl isocyanate provided the sulfamoyl isocyanate (II). This was further converted to the title sulfamoyl carbamate by treatment with dodecyl alcohol (III) and triethylamine.

Drug Information Express,Drug R&D,Chemical Database,Patent Search.
Copyright © 2006-2026 Drug Future. All rights reserved.Contact Us