【药物名称】
化学结构式(Chemical Structure):
参考文献No.39777
标题:Inhibition of p38 kinase activity using substd. heterocyclic ureas
作者:Riedl, B.; Lee, W.; Lowinger, T.B.; Redman, A.; Smith, R.A.; Khire, U.; Dumas, J.; Scott, W.J.; Wood, J.E.; Johnson, J.; Paulsen, H.; Hatoum-Mokdad, H. (Bayer Corp.)
来源:WO 9932111
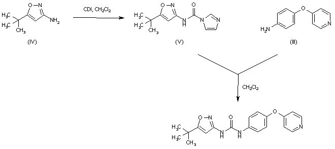
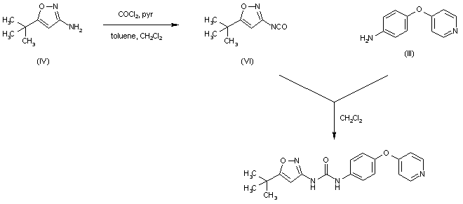
合成路线图解说明:

In a related procedure, amino isoxazole (IV) was converted to the corresponding isocyanate (VI) by treatment with phosgene and pyridine. Isocyanate (VI) was then condensed with amine (III), producing the target urea.

合成路线图解说明:

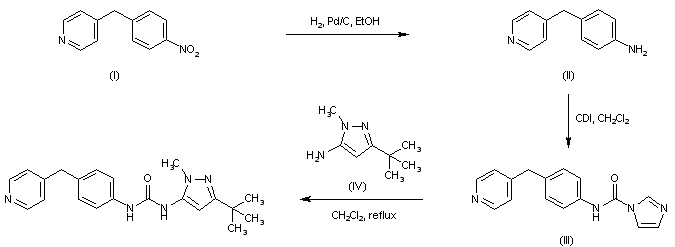
4-(4-Pyridinylmethyl)aniline (II) was prepared by catalytic hydrogenation of the corresponding nitro derivative (I) over Pd/C. Condensation of aniline (II) with N,N?carbonyldiimidazole produced the imidazolide (III). This was then condensed with 5-amino-3-tert-butyl-1-methylpyrazole (IV) to furnish the target urea.

参考文献No.39781
标题:Inhibition of raf kinase using substd. heterocyclic ureas
作者:Redman, A.; Paulsen, H.; Lowinger, T.B.; Dumas, J.; Johnson, J.; Wood, J.E.; Scott, W.J.; Khire, U.; Hatoum-Mokdad, H.; Lee, W.; Smith, R.A.; Riedl, B. (Bayer Corp.)
来源:EP 1047418; WO 9932106
合成路线图解说明:

Condensation of 4-aminophenol (I) with 4-chloropyridine (II) in the presence of potassium tert-butoxide afforded the intermediate diaryl ether (III).

合成路线图解说明:

Treatment of 3-amino-5-tert-butylisoxazole (IV) with carbonyldiimidazole produced the imidazolide (V), which was then condensed with amine (III) to furnish the title urea.

合成路线图解说明:

4-(4-Pyridinylmethyl)aniline (II) was prepared by catalytic hydrogenation of the corresponding nitro derivative (I) over Pd/C. Condensation of aniline (II) with N,N?carbonyldiimidazole produced the imidazolide (III). This was then condensed with 5-amino-3-tert-butyl-1-methylpyrazole (IV) to furnish the target urea.

参考文献No.683953
标题:Synthesis and pharmacological characterization of a potent, orally active p38 kinase inhibitor
作者:Dumas, J.; Hatoum-Mokdad, H.; Sibley, R.N.; Smith, R.A.; Scott, W.J.; Khire, U.; Lee, W.; Wood, J.; Wolanin, D.; Cooley, J.; Bankston, D.; Redman, A.M.; Schoenleber, R.; Caringal, Y.; Gunn, D.; Romero, R.; Osterhout, M.; Paulsen, H.; Housley, T.J.; et al.
来源:Bioorg Med Chem Lett 2002,12(12),1559
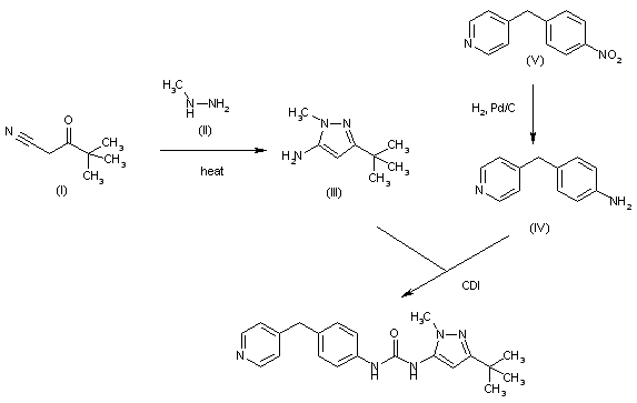
合成路线图解说明:

The cyclization of 2-pivaloylacetonitrile (I) with methylhydrazine (II) in refluxing ethanol gives 5-amino-3-tert-butyl-1-methylpyrazole (III), which is finally condensed with 4-(4-pyridylmethyl)aniline (IV) and carbonyldimidazole (CDI) in dichloromethane to afford the target urea. The aniline (IV) has been obtained by reduction of the corresponding nitro derivative (V) with H2 over Pd/C in ethanol.

Drug Information Express,Drug R&D,Chemical Database,Patent Search.
Copyright © 2006-2026 Drug Future. All rights reserved.Contact Us