【药物名称】
化学结构式(Chemical Structure):
参考文献No.39650
标题:Hydroxamic acid derivs. as matrix metalloprotease (MMP) inhibitors
作者:Whitlock, G.A.; Dack, K.N. (Pfizer Inc.)
来源:EP 1036062; JP 2001525396; WO 9929667
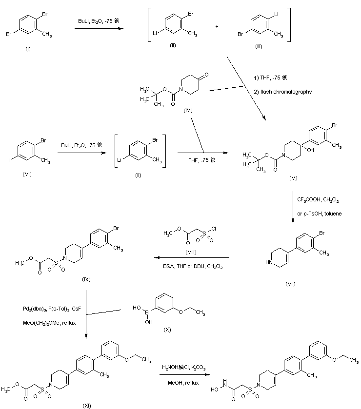
合成路线图解说明:

Lithiation of 2,5-dibromotoluene (I) with n-butyllithium at -75 C produced a mixture of 5-lithio (II) and 2-lithio (III) toluenes. Addition of this mixture to N-Boc-4-piperidone (IV) at low temperature provided the desired carbinol (V) and the corresponding 2-tolyl regioisomer, which were separated by flash chromatography (1). Alternatively, carbinol (V) was obtained by regioselective metallation of 2-bromo-5-iodotoluene (VI) and then addition to N-Boc-4-piperidone (IV). Dehydration of carbinol (V) with concomitant N-Boc group cleavage under acidic conditions furnished the tetrahydropyridine (VII). This was sulfonylated with methyl chlorosulfonylacetate (VIII) in the presence of either N,O-bis(trimethylsilyl)acetamide or diazabicycloundecene, producing sulfonamide (IX). Suzuki coupling of aryl bromide (IX) with 3-ethoxyphenylboronic acid (X) gave biphenyl (XI). The methyl ester group of (XI) was then condensed with hydroxylamine to afford the title hydroxamic acid.

参考文献No.630355
标题:Design and synthesis of a novel series of matrix metalloproteinase inhibitors with high selectivity for MMP-3
作者:Dack, K.N.; et al.
来源:222nd ACS Natl Meet (Aug 26 2001, Chicago) 2001,Abst MEDI 260
合成路线图解说明:

Lithiation of 2,5-dibromotoluene (I) with n-butyllithium at -75 C produced a mixture of 5-lithio (II) and 2-lithio (III) toluenes. Addition of this mixture to N-Boc-4-piperidone (IV) at low temperature provided the desired carbinol (V) and the corresponding 2-tolyl regioisomer, which were separated by flash chromatography (1). Alternatively, carbinol (V) was obtained by regioselective metallation of 2-bromo-5-iodotoluene (VI) and then addition to N-Boc-4-piperidone (IV). Dehydration of carbinol (V) with concomitant N-Boc group cleavage under acidic conditions furnished the tetrahydropyridine (VII). This was sulfonylated with methyl chlorosulfonylacetate (VIII) in the presence of either N,O-bis(trimethylsilyl)acetamide or diazabicycloundecene, producing sulfonamide (IX). Suzuki coupling of aryl bromide (IX) with 3-ethoxyphenylboronic acid (X) gave biphenyl (XI). The methyl ester group of (XI) was then condensed with hydroxylamine to afford the title hydroxamic acid.

Drug Information Express,Drug R&D,Chemical Database,Patent Search.
Copyright © 2006-2026 Drug Future. All rights reserved.Contact Us