【药物名称】W-3646
化学结构式(Chemical Structure):
参考文献No.630357
标题:Discovery of potent, highly selective, and orally active propenohydroxamate TNF-alpha converting enzyme (TACE) inhibitors
作者:Hirata, T.; et al.
来源:222nd ACS Natl Meet (Aug 26 2001, Chicago) 2001,Abst MEDI 262
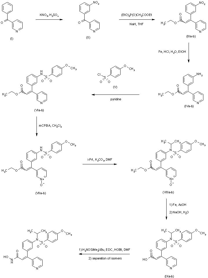
合成路线图解说明:

Nitration of 3-benzoylpyridine (I) with KNO3 in sulfuric acid yielded the meta-nitrobenzoyl derivative (II). Wadsworth-Emmons reaction of ketone (II) with triethyl phosphonoacetate produced the unsaturated ester (IIIa-b) as a mixture of geometric isomers. Nitro group reduction in (IIIa-b) employing Fe and HCl gave aniline (IVa-b), which was condensed with 4-methoxybenzenesulfonyl chloride (V) to afford sulfonamide (VIa-b). After conversion of the pyridine ring of (VIa-b) to the corresponding N-oxide (VIIa-b) with m-chloroperbenzoic acid, the sulfonamide N atom of (VIIa-b) was alkylated with isopropyl iodide and K2CO3 to produce (VIIIa-b). Reduction of the N-oxide of (VIIIa-b) by means of Fe and HOAc, followed by basic hydrolysis of the ethyl ester, furnished acid (IXa-b). This was then coupled with O-t-butyldimethylsilyl hydroxylamine to provide, after separation of the Z/E isomeric mixture, the desired hydroxamic acid.

Drug Information Express,Drug R&D,Chemical Database,Patent Search.
Copyright © 2006-2026 Drug Future. All rights reserved.Contact Us