【药物名称】SU-058(uncomplexed), RP-698
化学结构式(Chemical Structure):
参考文献No.43925
标题:Vitronectin receptor antagonist pharmaceuticals
作者:Sworin, M.; Cheesman, E.H.; Rajopadhyem, M. (DuPont Pharmaceuticals Co.)
来源:EP 1140864; WO 0035887
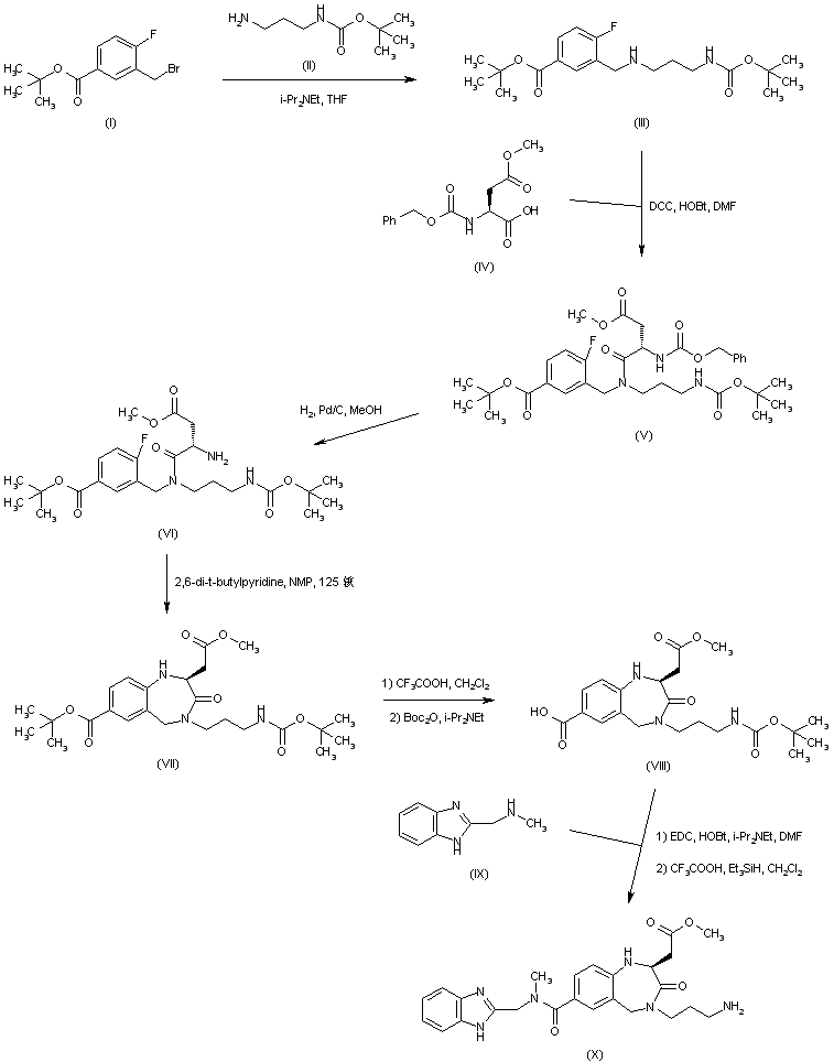
合成路线图解说明:

Condensation of tert-butyl 4-fluoro-3-(bromomethyl)benzoate (I) with N-Boc-1,3-propanediamine (II) afforded the aminomethyl benzoate derivative (III). This was coupled with N-Cbz-L-aspartic acid beta-methyl ester (IV), yielding amide (V). After hydrogenolysis of the carbobenzoxy protecting group of (V), the resultant fluoro amine (VI) was cyclized to the benzodiazepinone (VII) upon treatment with 2,6-di-tert-butylpyridine in hot NMP. Acidic cleavage of both the tert-butyl ester and the N-Boc groups of (VII), followed by reprotection of the amine with Boc2O, furnished the N-Boc acid (VIII). This was then coupled to 2-(methylaminomethyl)benzimidazole (IX) to afford, after acidic Boc group cleavage, the amino amide (X).

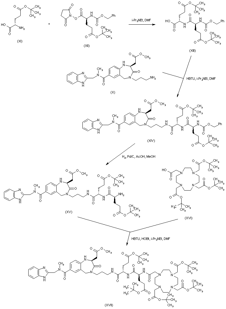
合成路线图解说明:

Coupling between gamma-tert-butoxy glutamic acid (XI) and gamma-tert-butoxy-N-Cbz-glutamic acid succinimidyl ester (XII) produced the protected dipeptide (XIII). This was further coupled to the intermediate amine (X) to furnish the corresponding amide (XIV). After hydrogenolysis of the N-Cbz protecting group of (XIV), the resultant amine (XV) was acylated with tetraazacyclododecanetetraacetic acid tri-tert-butyl ester (XVI), yielding the amide adduct (XVII).

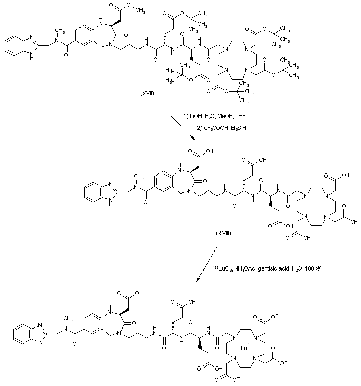
合成路线图解说明:

Basic hydrolysis of the methyl ester group of (XVII) and subsequent acidic cleavage of the tert-butyl esters gave rise to the hexacarboxylic acid derivative (XVIII). Finally, complexation of (XVIII) with 177LuCl3 furnished the title lutetium complex.

参考文献No.630322
标题:Nonpeptide vitronectin antagonists labeled with Tc99m for imaging tumors
作者:Cheesman, E.H.; et al.
来源:222nd ACS Natl Meet (Aug 26 2001, Chicago) 2001,Abst MEDI 77
合成路线图解说明:

Condensation of tert-butyl 4-fluoro-3-(bromomethyl)benzoate (I) with N-Boc-1,3-propanediamine (II) afforded the aminomethyl benzoate derivative (III). This was coupled with N-Cbz-L-aspartic acid beta-methyl ester (IV), yielding amide (V). After hydrogenolysis of the carbobenzoxy protecting group of (V), the resultant fluoro amine (VI) was cyclized to the benzodiazepinone (VII) upon treatment with 2,6-di-tert-butylpyridine in hot NMP. Acidic cleavage of both the tert-butyl ester and the N-Boc groups of (VII), followed by reprotection of the amine with Boc2O, furnished the N-Boc acid (VIII). This was then coupled to 2-(methylaminomethyl)benzimidazole (IX) to afford, after acidic Boc group cleavage, the amino amide (X).

合成路线图解说明:

Coupling between gamma-tert-butoxy glutamic acid (XI) and gamma-tert-butoxy-N-Cbz-glutamic acid succinimidyl ester (XII) produced the protected dipeptide (XIII). This was further coupled to the intermediate amine (X) to furnish the corresponding amide (XIV). After hydrogenolysis of the N-Cbz protecting group of (XIV), the resultant amine (XV) was acylated with tetraazacyclododecanetetraacetic acid tri-tert-butyl ester (XVI), yielding the amide adduct (XVII).

合成路线图解说明:

Basic hydrolysis of the methyl ester group of (XVII) and subsequent acidic cleavage of the tert-butyl esters gave rise to the hexacarboxylic acid derivative (XVIII). Finally, complexation of (XVIII) with 177LuCl3 furnished the title lutetium complex.

Drug Information Express,Drug R&D,Chemical Database,Patent Search.
Copyright © 2006-2026 Drug Future. All rights reserved.Contact Us