【药物名称】
化学结构式(Chemical Structure):
参考文献No.630316
标题:Synthesis and SAR of substituted 5-acylamino benzimidazoles as potent neuropeptide Y Y5 antagonists
作者:Akwabi-Ameyaw, A.; et al.
来源:222nd ACS Natl Meet (Aug 26 2001, Chicago) 2001,Abst MEDI 33
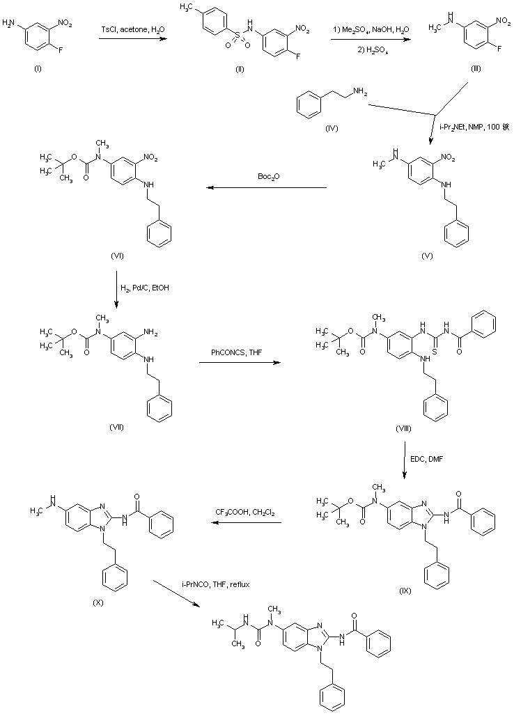
合成路线图解说明:

Conversion of 4-fluoro-3-nitroaniline (I) into the N-methyl derivative (III) was achieved via formation of the corresponding p-toluenesulfonamide (II), which was further N-alkylated with dimethyl sulfate in the presence of NaOH, followed by sulfonamide hydrolysis with concentrated sulfuric acid. Displacement of the fluoride group of (III) with phenethylamine (IV) in hot NMP gave rise to the p-phenylenediamine (V). After selective protection of the methylamino group of (V) as the N-Boc derivative (VI), the nitro group was reduced to amine (VII) by catalytic hydrogenation over Pd/C. Condensation of (VII) with benzoyl isothiocyanate to yield (VIII), and subsequent cyclization in the presence of EDC, produced the benzimidazole (IX). Acidic cleavage of the Boc protecting group of (IX) gave amine (X). This was finally condensed with isopropyl isocyanate to furnish the title urea.

Drug Information Express,Drug R&D,Chemical Database,Patent Search.
Copyright © 2006-2026 Drug Future. All rights reserved.Contact Us