【药物名称】
化学结构式(Chemical Structure):
参考文献No.47930
标题:Heterocycle amides as cell adhesion inhibitors
作者:Yang, G.X.; Hagmann, W.K.; Doherty, G.; Chang, L.L.; Delaszlo, S.E. (Merck & Co., Inc.)
来源:WO 0112183
合成路线图解说明:

N-Boc-L-tyrosine tert-butyl ester (I) was converted to the aryl triflate (II) by means of trifluoromethanesulfonic anhydride and pyridine. Palladium-catalyzed coupling of triflate (II) with 2,6-dimethoxyphenylboronic acid (III) furnished the biphenyl compound (IV). The N-Boc protecting group of (IV) was then selectively removed by treatment with sulfuric acid in tert-butyl acetate, yielding amino ester (V).

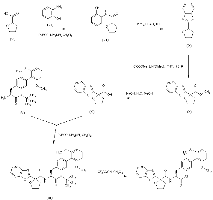
合成路线图解说明:

Coupling of 2-tetrahydrofuroic acid (VI) with ortho-aminophenol (VII) by means of PyBOP gave the corresponding ortho-hydroxyanilide (VIII), which was cyclized to the benzoxazole (IX) in the presence of DEAD and triphenylphosphine. The lithium derivative of (IX) was acylated with methyl chloroformate to produce the carboxylate ester (X). Acid (XI), generated by basic hydrolysis of ester (X), was then coupled with amino ester (V) to afford amide (XII). The tert-butyl ester group of (XII) was finally cleaved to the title carboxylic acid by treatment with trifluoroacetic acid.

Drug Information Express,Drug R&D,Chemical Database,Patent Search.
Copyright © 2006-2026 Drug Future. All rights reserved.Contact Us