【药物名称】ABT-770
化学结构式(Chemical Structure):
参考文献No.50678
标题:Reverse hydroxamate inhibitors of matrix metalloproteinases
作者:Dellaria, J.F. Jr.; Gong, J.; Steinman, D.H.; Michaelides, M.R.; Giesler, J.; Davidsen, S.K.; Curtin, M.L.; Florjancic, A.S.; Xu, L.; Guo, Y.; Holms, J.H.; Wada, C.K.; Heyman, H.R. (Abbott Laboratories Inc.)
来源:JP 2001523272; WO 9906361
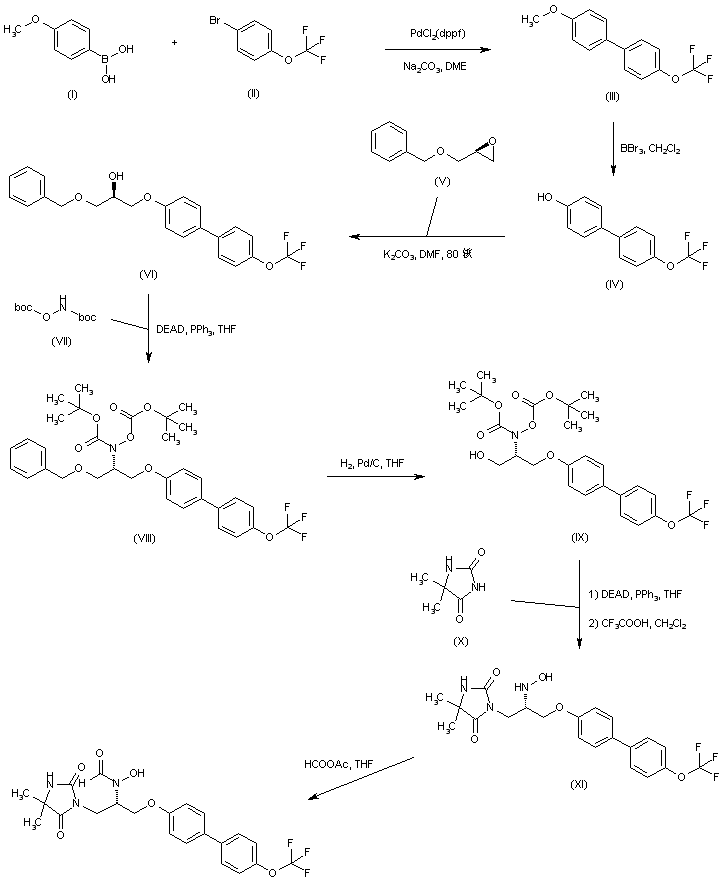
合成路线图解说明:

Suzuki coupling between 4-methoxyphenylboronic acid (I) and 1-bromo-4-(trifluoromethoxy)benzene (II) gave the biphenyl derivative (III). Methyl ether cleavage in (III) by means of BBr3 provided the biphenyl alcohol (IV), which was condensed with (S)-benzyl glycidyl ether (V) under basic conditions, yielding the chiral glycerol diether (VI). Mitsunobu coupling of alcohol (VI) with the di-Boc-protected hydroxylamine (VII) using DEAD/PPh3 afforded carbamate (VIII). Subsequent catalytic hydrogenolysis of the benzyl ether of (VIII) gave alcohol (IX). Condensation of this alcohol (IX) with 5,5-dimethylhydantoin (X) under Mitsunobu conditions, followed by acidic cleavage of the Boc protecting groups, furnished the hydroxylamine derivative (XI). This was finally N-formylated by treatment with formic acetic anhydride.

参考文献No.630498
标题:Discovery and characterization of the potent, selective and orally bioavailable MMP inhibitor ABT-770
作者:Curtin, M.L.; Florjancic, A.S.; Heyman, H.R.; Michaelides, M.R.; Garland, R.B.; Holms, J.H.; Steinman, D.H.; Dellaria, J.F.; Gong, J.; Wada, C.K.; Guo, Y.; Elmore, I.B.; Tapang, P.; Albert, D.H.; Magoc, T.J.; Marcotte, P.A.; Bouska, J.J.; et al.
来源:Bioorg Med Chem Lett 2001,11(12),1557
合成路线图解说明:

Suzuki coupling between 4-methoxyphenylboronic acid (I) and 1-bromo-4-(trifluoromethoxy)benzene (II) gave the biphenyl derivative (III). Methyl ether cleavage in (III) by means of BBr3 provided the biphenyl alcohol (IV), which was condensed with (S)-benzyl glycidyl ether (V) under basic conditions, yielding the chiral glycerol diether (VI). Mitsunobu coupling of alcohol (VI) with the di-Boc-protected hydroxylamine (VII) using DEAD/PPh3 afforded carbamate (VIII). Subsequent catalytic hydrogenolysis of the benzyl ether of (VIII) gave alcohol (IX). Condensation of this alcohol (IX) with 5,5-dimethylhydantoin (X) under Mitsunobu conditions, followed by acidic cleavage of the Boc protecting groups, furnished the hydroxylamine derivative (XI). This was finally N-formylated by treatment with formic acetic anhydride.

Drug Information Express,Drug R&D,Chemical Database,Patent Search.
Copyright © 2006-2026 Drug Future. All rights reserved.Contact Us