【药物名称】
化学结构式(Chemical Structure):
参考文献No.35862
标题:Hydroxamic and carboxylic acid derivs. having MMP and TNF inhibitory activity
作者:Owen, D.A.; Montana, J.G.; Keily, J.F.; Watson, R.J.; Baxter, A.D. (Celltech Group plc)
来源:EP 0968182; JP 2000517297; WO 9805635
合成路线图解说明:

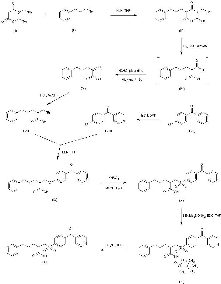
Alkylation of the sodium salt of dibenzyl malonate (I) with 1-bromo-3-phenylpropane (II) afforded the (phenylpropyl)malonate (III). The benzyl ester groups of (III) were removed by hydrogenolysis in the presence of Pd/C to produce the intermediate malonic acid (IV). Subsequent condensation of diacid (IV) with formaldehyde in the presence of piperidine proceeded with concomitant decarboxylation, yielding 2-methylene-5-phenylpentanoic acid (V). Addition of HBr to the unsaturated acid (V) gave bromide (VI). Condensation of (VI) with thiophenol (VIII), prepared by nucleophilic displacement of 4-(4-chlorobenzoyl)pyridine (VI) with sodium hydrogen sulfide, furnished the sulfide adduct (IX). This was oxidized to the corresponding sulfone (X) by treatment with Oxone(R). Conversion of (X) to the desired hydroxamic acid was carried out by coupling with O-tert-butyldimethylsilyl hydroxylamine, followed by deprotection of the resulting O-silyl hydroxamate (XI) with tetrabutylammonium fluoride.

参考文献No.631293
标题:Arylsulphonyl hydroxamic acids: Potent and selective matrix metalloproteinase inhibitors
作者:Baxter, A.D.; Bhogal, R.; Bird, J.; Keily, J.F.; Manallack, D.T.; Montana, J.G.; Owen, D.A.; Pitt, W.R.; Watson, R.J.; Wills, R.E.
来源:Bioorg Med Chem Lett 2001,11(11),1465
合成路线图解说明:

Alkylation of the sodium salt of dibenzyl malonate (I) with 1-bromo-3-phenylpropane (II) afforded the (phenylpropyl)malonate (III). The benzyl ester groups of (III) were removed by hydrogenolysis in the presence of Pd/C to produce the intermediate malonic acid (IV). Subsequent condensation of diacid (IV) with formaldehyde in the presence of piperidine proceeded with concomitant decarboxylation, yielding 2-methylene-5-phenylpentanoic acid (V). Addition of HBr to the unsaturated acid (V) gave bromide (VI). Condensation of (VI) with thiophenol (VIII), prepared by nucleophilic displacement of 4-(4-chlorobenzoyl)pyridine (VI) with sodium hydrogen sulfide, furnished the sulfide adduct (IX). This was oxidized to the corresponding sulfone (X) by treatment with Oxone(R). Conversion of (X) to the desired hydroxamic acid was carried out by coupling with O-tert-butyldimethylsilyl hydroxylamine, followed by deprotection of the resulting O-silyl hydroxamate (XI) with tetrabutylammonium fluoride.

Drug Information Express,Drug R&D,Chemical Database,Patent Search.
Copyright © 2006-2026 Drug Future. All rights reserved.Contact Us