【药物名称】NMI-1093
化学结构式(Chemical Structure):
参考文献No.49948
标题:Nitrosated and nitrosylated cyclooxygenase-2 inhibitors, compsns. and methods of use
作者:Garvey, D.S.; Tam, S.W.; Letts, L.G.; Schroeder, J.D.; Bandarage, U.K.; Fang, X.; Bandarage, R.R. (NitroMed Inc.)
来源:WO 0145703
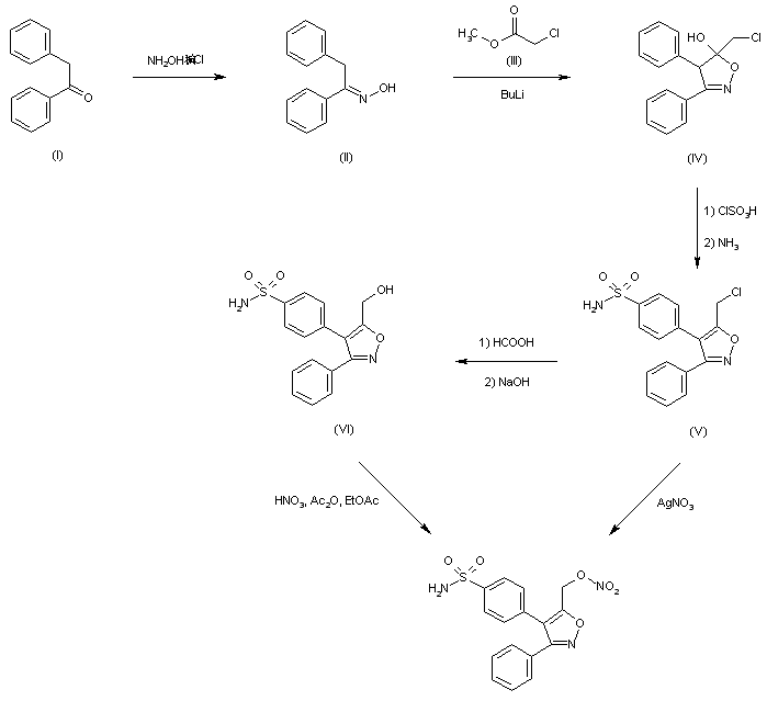
合成路线图解说明:

Treatment of deoxybenzoin (I) with hydroxylamine hydrochloride produces the corresponding oxime (II). Condensation of the dilithium derivative of (II) with methyl chloroacetate (III) generates the dihydroisoxazole (IV). Subsequent chlorosulfonation of (IV), followed by treatment with ammonia, furnishes sulfonamide (V). Then, displacement of the chloro group of (V) with silver nitrate gives rise to the target nitrate ester. Alternatively, chloride (V) is converted to alcohol (VI) by displacement with formic acid, followed by alkaline hydrolysis. Then, reaction of alcohol (VI) with in situ generated acetyl nitrate yields the corresponding nitrate.

参考文献No.686256
标题:NMI-1093: A nitric oxide-enhanced cyclooxygenase-2 selective inhibitor with cardioprotective potential
作者:Schroeder, J.D.; et al.
来源:224th ACS Natl Meet (Aug 18 2002, Boston) 2002,Abst MEDI 316
合成路线图解说明:

Treatment of deoxybenzoin (I) with hydroxylamine hydrochloride produces the corresponding oxime (II). Condensation of the dilithium derivative of (II) with methyl chloroacetate (III) generates the dihydroisoxazole (IV). Subsequent chlorosulfonation of (IV), followed by treatment with ammonia, furnishes sulfonamide (V). Then, displacement of the chloro group of (V) with silver nitrate gives rise to the target nitrate ester. Alternatively, chloride (V) is converted to alcohol (VI) by displacement with formic acid, followed by alkaline hydrolysis. Then, reaction of alcohol (VI) with in situ generated acetyl nitrate yields the corresponding nitrate.

Drug Information Express,Drug R&D,Chemical Database,Patent Search.
Copyright © 2006-2026 Drug Future. All rights reserved.Contact Us