【药物名称】BAL-1198, RO-0791198
化学结构式(Chemical Structure):
参考文献No.54400
标题:Novel cyclic cpds.
作者:Okada, T.; Shimma, N.; Murata, T.; Masubuchi, K.; Kohchi, M. (Basilea Pharmaceutica AG)
来源:EP 1254161; WO 0153322
合成路线图解说明:

The natural macrocyclic depsipeptide RO-0093655 (IV) was subjected to reductive alkylation with N-Boc-aminoacetaldehyde (II), yielding the mono-protected diamino compound (V). Subsequent acylation of amine (V) with the ornithine derivative (III) provided the corresponding amide (VI).

合成路线图解说明:

The title compound was obtained by acidic cleavage of the Boc protecting groups of (VI) in the presence of trifluoroacetic acid.

合成路线图解说明:

The title compound was prepared by chemical modification of the natural macrocyclic depsipeptide RO-0093655 (I). Conjugate addition of acrylonitrile (II) to the side-chain amino group of (I) produced the aminopropionitrile derivative (III). Subsequent acylation of aminonitrile (III) with the di-Boc-protected L-ornithine (IV) gave amide (V).

合成路线图解说明:

The Boc protecting groups of (V) were removed by treatment with trifluoroacetic acid yielding diamine (VI). Finally, the cyano group of (VI) was reduced by catalytic hydrogenation over Pd/C to afford the title compound.

参考文献No.54401
标题:Nasally administrable cyclic peptide compsns.
作者:Shimma, N.; Kobayashi, K.; Horii, I.; Yanagawa, A. (Basilea Pharmaceutica AG)
来源:WO 0152894
合成路线图解说明:

The natural macrocyclic depsipeptide RO-0093655 (IV) was subjected to reductive alkylation with N-Boc-aminoacetaldehyde (II), yielding the mono-protected diamino compound (V). Subsequent acylation of amine (V) with the ornithine derivative (III) provided the corresponding amide (VI).

合成路线图解说明:

The title compound was obtained by acidic cleavage of the Boc protecting groups of (VI) in the presence of trifluoroacetic acid.

合成路线图解说明:

The title compound was prepared by chemical modification of the natural macrocyclic depsipeptide RO-0093655 (I). Conjugate addition of acrylonitrile (II) to the side-chain amino group of (I) produced the aminopropionitrile derivative (III). Subsequent acylation of aminonitrile (III) with the di-Boc-protected L-ornithine (IV) gave amide (V).

合成路线图解说明:

The Boc protecting groups of (V) were removed by treatment with trifluoroacetic acid yielding diamine (VI). Finally, the cyano group of (VI) was reduced by catalytic hydrogenation over Pd/C to afford the title compound.

参考文献No.631269
标题:Synthesis and antifungal activities of novel 1,3-beta-D-glucan synthase inhibitor. Part 2
作者:Masubuchi, K.; Okada, T.; Kohchi, M.; Murata, T.; Tsukazaki, M.; Kondoh, O.; Yamazaki, T.; Satoh, Y.; Ono,Y.; Tsukaguchi, T.; Kobayashi, K.; Ono, N.; Inoue, T.; Horii, I.; Shimma, N.
来源:Bioorg Med Chem Lett 2001,11(10),1273
合成路线图解说明:

The requisite N-Boc protected tetraamino carboxylic acid (III) was prepared by reductive dialkylation of N-delta-Boc-L-ornithine (I) with N-Boc-aminoacetaldehyde (II) in the presence of sodium cyanoborohydride.

合成路线图解说明:

The natural macrocyclic depsipeptide RO-0093655 (IV) was subjected to reductive alkylation with N-Boc-aminoacetaldehyde (II), yielding the mono-protected diamino compound (V). Subsequent acylation of amine (V) with the ornithine derivative (III) provided the corresponding amide (VI).

合成路线图解说明:

The title compound was obtained by acidic cleavage of the Boc protecting groups of (VI) in the presence of trifluoroacetic acid.

合成路线图解说明:

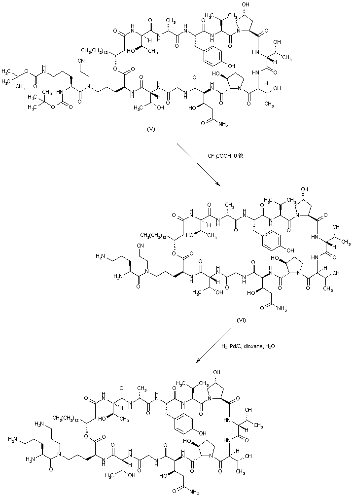
The title compound was prepared by chemical modification of the natural macrocyclic depsipeptide RO-0093655 (I). Conjugate addition of acrylonitrile (II) to the side-chain amino group of (I) produced the aminopropionitrile derivative (III). Subsequent acylation of aminonitrile (III) with the di-Boc-protected L-ornithine (IV) gave amide (V).

合成路线图解说明:

The Boc protecting groups of (V) were removed by treatment with trifluoroacetic acid yielding diamine (VI). Finally, the cyano group of (VI) was reduced by catalytic hydrogenation over Pd/C to afford the title compound.

参考文献No.662949
标题:Synthesis and antifungal activities of novel 1,3-beta-D-glucan synthase inhibitors
作者:Okada, T.; et al.
来源:223rd ACS Natl Meet (April 7 2002, Orlando) 2002,Abst MEDI 174
合成路线图解说明:

The natural macrocyclic depsipeptide RO-0093655 (IV) was subjected to reductive alkylation with N-Boc-aminoacetaldehyde (II), yielding the mono-protected diamino compound (V). Subsequent acylation of amine (V) with the ornithine derivative (III) provided the corresponding amide (VI).

合成路线图解说明:

The title compound was obtained by acidic cleavage of the Boc protecting groups of (VI) in the presence of trifluoroacetic acid.

合成路线图解说明:

The title compound was prepared by chemical modification of the natural macrocyclic depsipeptide RO-0093655 (I). Conjugate addition of acrylonitrile (II) to the side-chain amino group of (I) produced the aminopropionitrile derivative (III). Subsequent acylation of aminonitrile (III) with the di-Boc-protected L-ornithine (IV) gave amide (V).

合成路线图解说明:

The Boc protecting groups of (V) were removed by treatment with trifluoroacetic acid yielding diamine (VI). Finally, the cyano group of (VI) was reduced by catalytic hydrogenation over Pd/C to afford the title compound.

Drug Information Express,Drug R&D,Chemical Database,Patent Search.
Copyright © 2006-2026 Drug Future. All rights reserved.Contact Us