【药物名称】
化学结构式(Chemical Structure):
参考文献No.51187
标题:Imidazolylbenzophenone derivs.
作者:Amada, H.; Miyata, N.; Kobayashi, Y.; Ishii, T.; Sato, M. (Taisho Pharmaceutical Co., Ltd.)
来源:WO 0168610
合成路线图解说明:

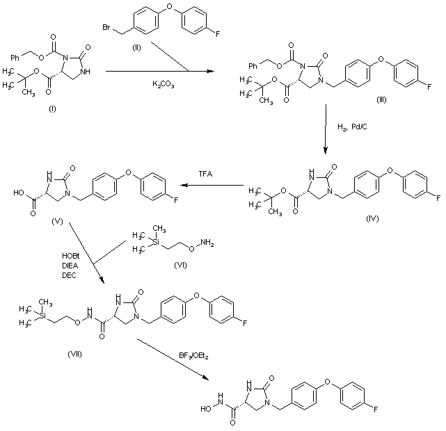
The alkylation of 1-(benzyloxycarbonyl)-2-oxoimidazolidine-5(R)-carboxylic acid tert-butyl ester (I) with 4-(4-fluorophenoxy)benzyl bromide (II) by means of K2CO3 in acetone gives 1-(benzyloxycarbonyl)-3-[4-(4-fluorophenoxy)benzyl]-2-oxoimidazolidine-5(R)-carboxylic acid tert-butyl ester (III), which is deprotected by hydrogenation with H2 over Pd/C in ethanol to afford 1-[4-(4-fluorophenoxy)benzyl]-2-oxoimidazolidine-4(R)-carboxylic acid tert-butyl ester (IV). The cleavage of the tert-butyl protecting group of (IV) by means of TFA in dichloromethane affords the free carboxylic acid (V), which is condensed with O-[2-(trimethylsilyl)ethyl]hydroxylamine (VI) by means of HOBt, DIEA and DEC to provide the corresponding amide (VII). Finally, the desilylation of (VII) by means of BF3 ethearate in dichloromethane gives rise to the target hydroxamic acid.

参考文献No.631248
标题:Design and synthesis of 2-oxo-imidazolidine-4-carboxylic acid hydroxymides as potent matrix metalloproteinase-13 inhibitors
作者:Robinson, R.P.; Laird, E.R.; Donahue, K.M.; Lopresti-Morrow, L.L.; Mitchell, P.G.; Reese, M.R.; Reeves, L.M.; Rouch, A.I.; Stam, E.J.; Yocum, S.A.
来源:Bioorg Med Chem Lett 2001,11(9),1211
合成路线图解说明:

The alkylation of 1-(benzyloxycarbonyl)-2-oxoimidazolidine-5(R)-carboxylic acid tert-butyl ester (I) with 4-(4-fluorophenoxy)benzyl bromide (II) by means of K2CO3 in acetone gives 1-(benzyloxycarbonyl)-3-[4-(4-fluorophenoxy)benzyl]-2-oxoimidazolidine-5(R)-carboxylic acid tert-butyl ester (III), which is deprotected by hydrogenation with H2 over Pd/C in ethanol to afford 1-[4-(4-fluorophenoxy)benzyl]-2-oxoimidazolidine-4(R)-carboxylic acid tert-butyl ester (IV). The cleavage of the tert-butyl protecting group of (IV) by means of TFA in dichloromethane affords the free carboxylic acid (V), which is condensed with O-[2-(trimethylsilyl)ethyl]hydroxylamine (VI) by means of HOBt, DIEA and DEC to provide the corresponding amide (VII). Finally, the desilylation of (VII) by means of BF3 ethearate in dichloromethane gives rise to the target hydroxamic acid.

Drug Information Express,Drug R&D,Chemical Database,Patent Search.
Copyright © 2006-2026 Drug Future. All rights reserved.Contact Us