【药物名称】LY-503429
化学结构式(Chemical Structure):
参考文献No.50592
标题:Monofluoroalkyl derivs.
作者:Jones, W.D.; Mitchell, D.; Fray, A.H.; Miller, W.D.; Cantrell, B.E.; Bender, D.M.; Zimmerman, D.M.; Simon, R.L.; Zarrinmayeh, H. (Eli Lilly and Company)
来源:EP 1183232; WO 0066546
合成路线图解说明:

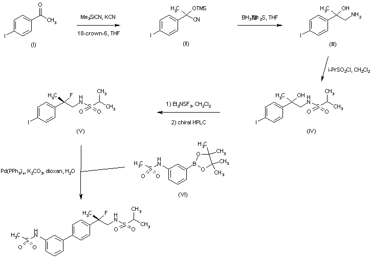
Addition of cyanotrimethylsilane to 4?iodoacetophenone (I) provided the O-silylated cyanohydrin (II), which was subsequently reduced to the amino alcohol (III) employing borane-dimethyl sulfide complex. Acylation of (III) with 2-propanesulfonyl chloride gave sulfonamide (IV). The hydroxyl group of (IV) was then fluorinated by means of diethylaminosulfur trifluoride, and the resultant racemic fluoride was resolved by chiral HPLC. Finally, Suzuki coupling of the required (S)-enantiomer (V) with boronic ester (VI) yielded the title biphenyl derivative.

合成路线图解说明:

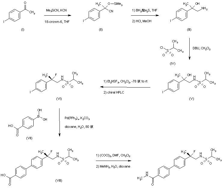
Treatment of 4'-iodoacetophenone (I) with cyanotrimethylsilane in the presence of KCN and crown ether provides the silyl-protected cyanohydrin (II), which is reduced with borane-dimethyl sulfide complex in refluxing THF to afford, after deprotection with methanolic HCl, the amino alcohol (III). Acylation of amine (III) with 2-propanesulfonyl chloride (IV) yields sulfonamide (V). The hydroxyl group in (V) is replaced by fluoride employing DAST in cold CH2Cl2, and the obtained racemic fluoride is then resolved by preparative chiral HPLC to furnish the required (S)-enantiomer (VI). Suzuki coupling between aryl iodide (VI) and 4 carboxybenzeneboronic acid (VII) leads to the biphenylcarboxylic acid (VIII). Finally, activation of acid (VIII) as the corresponding acid chloride by means of oxalyl chloride, followed by treatment with methylamine leads to the title N methyl carboxamide.

Drug Information Express,Drug R&D,Chemical Database,Patent Search.
Copyright © 2006-2026 Drug Future. All rights reserved.Contact Us