【药物名称】CP-671906-01
化学结构式(Chemical Structure):
参考文献No.50593
标题:Certain alkylene diamine-substd. pyrazolo[1,5-a]-1,5-pyrimidines and pyrazolo[1,5-a]-1,3,5-triazines
作者:Giangiordano, M.; Tran, J.; Darrow, J.W.; De Lombaert, S.; Blum, C.; Griffith, D.A.; Carpino, P.A. (Neurogen Corp.; Pfizer Inc.)
来源:US 6372743; WO 0123387
合成路线图解说明:

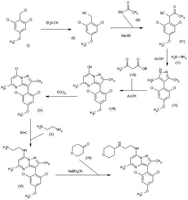
The reaction of 2,6-dichloro-4-methoxybenzyl chloride (I) with tetraethylammonium cyanide in refluxing dichloromethane gives 2-(2,6-dichloro-4-methoxyphenyl)acetonitrile (II), which is condensed with ethyl acetate (III) by means of sodium ethoxide in refluxing ethanol to yield the 3-oxobutyronitrile (IV). The cyclization of (IV) with hydrazine (V) by means of HOAc in refluxing benzene affords the aminopyrazole (VI), which is further cyclized with ethyl acetoacetate (VII) in refluxing acetic acid to provide 3-(2,6-dichloro-4-methoxyphenyl)-2,5-dimethylpyrazolo[1,5-a]pyrimidin-7-ol (VIII). The reaction of (VIII) with refluxing POCl3 furnishes the corresponding chloro derivative (IX), which is allowed to react with ethylenediamine (X) in hot acetonitrile to give 7-(2-aminoethylamino)-3-(2,6-dichloro-4-methoxyphenyl)-2,5-dimethylpyrazolo[1,5-a]pyrimidine (XI). Finally, this compound is reductocondensed with tetrahydropyran-4-one (XII) by means of sodium cyanoborohydride in methanol/HOAc to yield the target CP-671906-01.

Drug Information Express,Drug R&D,Chemical Database,Patent Search.
Copyright © 2006-2026 Drug Future. All rights reserved.Contact Us