【药物名称】KF-72926
化学结构式(Chemical Structure):
参考文献No.50079
标题:Fused purine derivs.
作者:Nomoto, Y.; Nakanishi, S.; Ohta, Y.; Ogawa, A.; Suzuki, C.; Ueno, K.; Yano, H.; Kusaka, H.; Takasaki, K. (Kyowa Hakko Kogyo Co., Ltd.)
来源:EP 1251130; WO 0147931
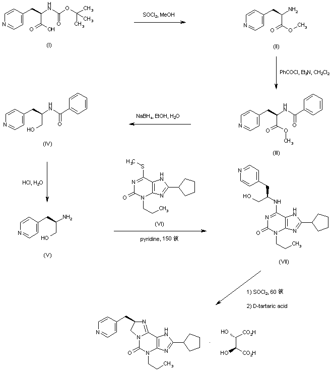
合成路线图解说明:

N-Boc-L-(4-Pyridyl)alanine (I) is deprotected and esterified by means of a methanolic solution of SOCl2 to produce amino ester (II). Subsequent acylation of (II) with benzoyl chloride affords benzamide (III). Ester group reduction in (III) by means of NaBH4 yields alcohol (IV). The amide function of (IV) is then hydrolyzed under acidic conditions to furnish (S)-2-amino-3-(4-pyridyl)-1-propanol (V). Coupling of amino alcohol (V) with the known 6-(methylthio)purine (VI) in hot pyridine leads to adduct (VII). Intramolecular cyclization of the purine alcohol (VII) employing thionyl chloride produces the target tricyclic compound, which is finally isolated as the corresponding D-tartrate salt.

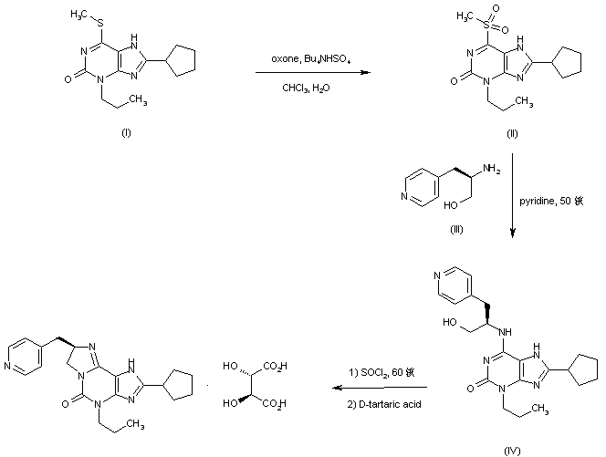
合成路线图解说明:

In a related method, the purine thioether (I) is oxidized to sulfone (II) by means of oxone under phase-transfer conditions. Coupling of sulfone (II) with the pyridyl amino alcohol (III) yields adduct (IV), which is finally cyclized to the target tricyclic compound upon treatment with thionyl chloride.

参考文献No.703357
标题:A new class of antidiabetic drugs; insulin secretion potentiator: Synthesis and biological activity of imidazopurine derivatives
作者:Ueno, K.; et al.
来源:22nd Symp Med Chem (Nov 27 2002, Shizuoka) 2002,Abst 2P-05
合成路线图解说明:

N-Boc-L-(4-Pyridyl)alanine (I) is deprotected and esterified by means of a methanolic solution of SOCl2 to produce amino ester (II). Subsequent acylation of (II) with benzoyl chloride affords benzamide (III). Ester group reduction in (III) by means of NaBH4 yields alcohol (IV). The amide function of (IV) is then hydrolyzed under acidic conditions to furnish (S)-2-amino-3-(4-pyridyl)-1-propanol (V). Coupling of amino alcohol (V) with the known 6-(methylthio)purine (VI) in hot pyridine leads to adduct (VII). Intramolecular cyclization of the purine alcohol (VII) employing thionyl chloride produces the target tricyclic compound, which is finally isolated as the corresponding D-tartrate salt.

Drug Information Express,Drug R&D,Chemical Database,Patent Search.
Copyright © 2006-2026 Drug Future. All rights reserved.Contact Us