【药物名称】S-35031
化学结构式(Chemical Structure):
参考文献No.50287
标题:Benzenesulfonamide derivs., process for their preparation and pharmaceutical compsns. containing them
作者:Verbeuren, T.; Simonet, S.; Descombes, J.-J.; Cimetiere, B.; Lavielle, G. (ADIR et Cie.)
来源:EP 1118610; FR 2803848; JP 2001226353
合成路线图解说明:

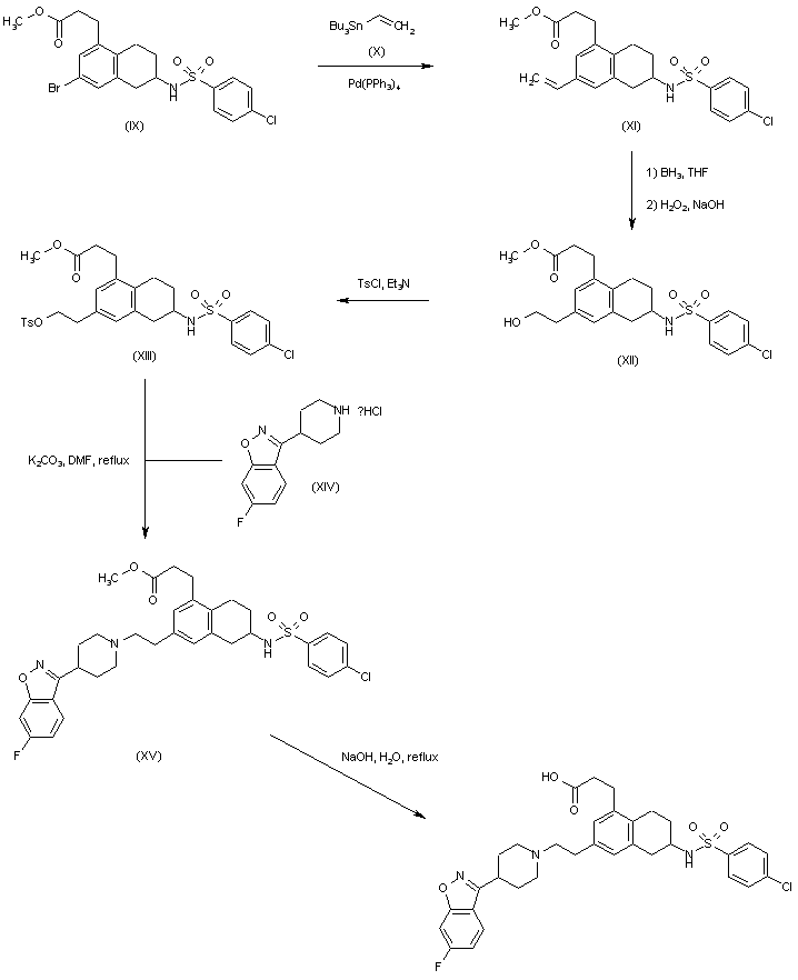
Heck reaction of aryl bromide (IX) with vinyl tributyltin (X) in the presence of palladium catalyst gave the vinyl tetrahydronaphthalene (XI), which was converted to the primary alcohol (XII) by means of hydroboration with borane in THF followed by oxidative treatment with H2O2 and NaOH. Reaction of alcohol (XII) with p-toluenesulfonyl chloride and Et3N produced the corresponding tosylate (XIII) (1). This was then condensed with 6-fluoro-3-(4-piperidinyl)benzisoxazole (XIV), yielding adduct (XV). Finally, basic hydrolysis of the ester group of (XIV) provided the title carboxylic acid.

合成路线图解说明:

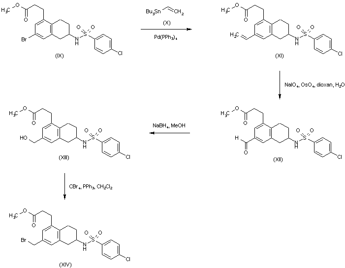
Heck reaction of aryl bromide (IX) with vinyl tributyltin (X) in the presence of palladium catalyst gave the vinyl tetrahydronaphthalene (XI), which was subjected to oxidative double-bond cleavage to aldehyde (XII) using NaIO4 in the presence of a catalytic amount of OsO4. Aldehyde reduction with NaBH4 provided alcohol (XIII). This was then converted to the corresponding bromide (XIV) by treatment with carbon tetrabromide and triphenylphosphine.

合成路线图解说明:

Acylation of 2-(1-piperazinyl)phenol (XV) with ethyl chloroformate produced the carbamate (XVI). After protection of the phenolic hydroxyl of (XVI) as the corresponding tosylate (XVII), reduction of the carbamate group of (XVII) with LiAlH4 gave rise to the N-methylpiperazine (XVIII). The tosylate group of (XVIII) was then removed by hydrolysis with KOH in aqueous ethanol, yielding phenol (XIX). The Williamson's ether synthesis between phenol (XIX) and bromide (XIV) provided adduct (XX). Finally, basic hydrolysis of the ester group of (XX) furnished the title carboxylic acid

参考文献No.629549
标题:Discovery of new combined 5-HT2 and TP-receptor antagonists
作者:Cimeti鑢e, B.; et al.
来源:222nd ACS Natl Meet (Aug 26 2001, Chicago) 2001,Abst MEDI 57
合成路线图解说明:

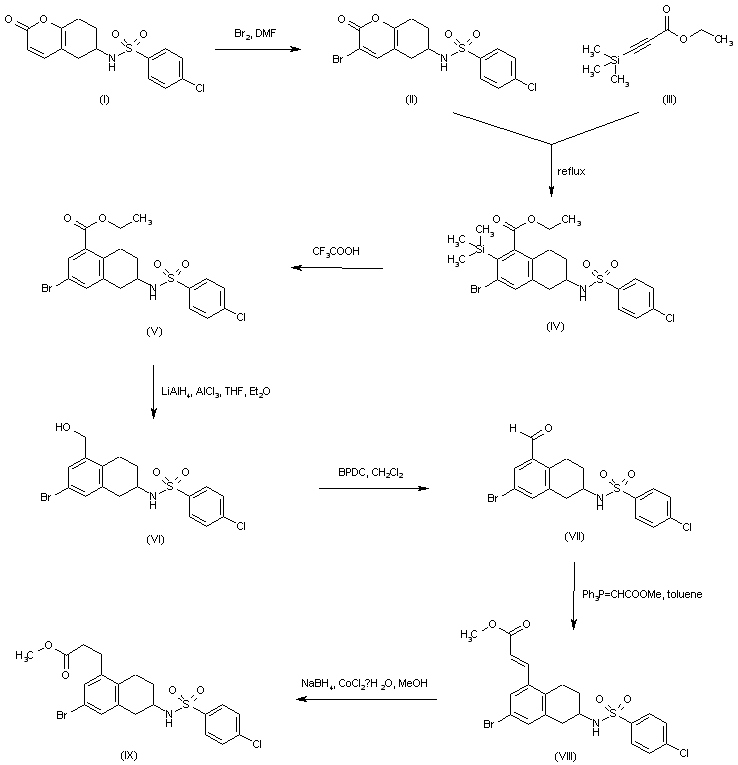
Bromination of the coumarin derivative (I) with Br2 in DMF afforded the bromo coumarin (II). Diels-Alder cycloaddition between bromo coumarin (II) and ethyl 3-(trimethylsilyl)propiolate (III) with concomitant decarboxylation furnished the tetrahydronaphthalene (IV). After desilylation of (IV) with trifluoroacetic acid, the resultant ester (V) was reduced to alcohol (VI) using the combination LiAlH4-AlCl3. Further oxidation of the alcohol function of (VI) to aldehyde (VII) was performed with 4-benzylpyridinium dichromate (BPDC) in CH2Cl2. Wittig reaction of aldehyde (VII) with methyl (triphenylphosphoranylidene)acetate produced the arylacrylate ester (VIII), which was then reduced to the saturated ester (IX) employing NaBH4 in the presence of CoCl2.

合成路线图解说明:

Heck reaction of aryl bromide (IX) with vinyl tributyltin (X) in the presence of palladium catalyst gave the vinyl tetrahydronaphthalene (XI), which was converted to the primary alcohol (XII) by means of hydroboration with borane in THF followed by oxidative treatment with H2O2 and NaOH. Reaction of alcohol (XII) with p-toluenesulfonyl chloride and Et3N produced the corresponding tosylate (XIII) (1). This was then condensed with 6-fluoro-3-(4-piperidinyl)benzisoxazole (XIV), yielding adduct (XV). Finally, basic hydrolysis of the ester group of (XIV) provided the title carboxylic acid.

合成路线图解说明:

Bromination of the coumarin derivative (I) with Br2 in DMF afforded the bromo coumarin (II). Diels-Alder cycloaddition between bromo coumarin (II) and ethyl 3-(trimethylsilyl)propiolate (III) with concomitant decarboxylation furnished the tetrahydronaphthalene (IV). After desilylation of (IV) with trifluoroacetic acid, the resultant ester (V) was reduced to alcohol (VI) using the combination LiAlH4-AlCl3. Further oxidation of the alcohol function of (VI) to aldehyde (VII) was performed with 4-benzylpyridinium dichromate (BPDC) in CH2Cl2. Wittig reaction of aldehyde (VII) with methyl (triphenylphosphoranylidene)acetate produced the arylacrylate ester (VIII), which was then reduced to the saturated ester (IX) employing NaBH4 in the presence of CoCl2.

合成路线图解说明:

Heck reaction of aryl bromide (IX) with vinyl tributyltin (X) in the presence of palladium catalyst gave the vinyl tetrahydronaphthalene (XI), which was subjected to oxidative double-bond cleavage to aldehyde (XII) using NaIO4 in the presence of a catalytic amount of OsO4. Aldehyde reduction with NaBH4 provided alcohol (XIII). This was then converted to the corresponding bromide (XIV) by treatment with carbon tetrabromide and triphenylphosphine.

合成路线图解说明:

Acylation of 2-(1-piperazinyl)phenol (XV) with ethyl chloroformate produced the carbamate (XVI). After protection of the phenolic hydroxyl of (XVI) as the corresponding tosylate (XVII), reduction of the carbamate group of (XVII) with LiAlH4 gave rise to the N-methylpiperazine (XVIII). The tosylate group of (XVIII) was then removed by hydrolysis with KOH in aqueous ethanol, yielding phenol (XIX). The Williamson's ether synthesis between phenol (XIX) and bromide (XIV) provided adduct (XX). Finally, basic hydrolysis of the ester group of (XX) furnished the title carboxylic acid

Drug Information Express,Drug R&D,Chemical Database,Patent Search.
Copyright © 2006-2026 Drug Future. All rights reserved.Contact Us