【药物名称】
化学结构式(Chemical Structure):
参考文献No.629929
标题:Design and synthesis of 4,5-diphenyl-4-isoxazolines: Novel inhibitors of cyclooxygenase-2 with analgesic and antiinflammatory activity
作者:Habeeb, A.G.; Praveen Rao, P.N.; Knaus, E.E.
来源:J Med Chem 2001,44(18),2921
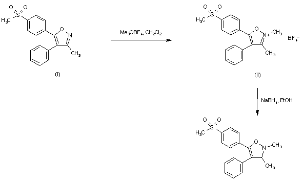
合成路线图解说明:

The title compound was prepared from the previously reported isoxazole (I). Quaternization of (I) by using trimethyloxonium tetrafluoroborate gave the isoxazolium salt (II). This was then reduced with NaBH4 in EtOH to afford the desired isoxazoline.

Drug Information Express,Drug R&D,Chemical Database,Patent Search.
Copyright © 2006-2026 Drug Future. All rights reserved.Contact Us