【药物名称】
化学结构式(Chemical Structure):
参考文献No.40988
标题:Substd. diamines and their use as cell adhesion inhibitors
作者:McCarthy, C.; Morley, A.D.; Harris, N.V. (Rh鬾e-Poulenc Rorer Ltd.)
来源:WO 9954321
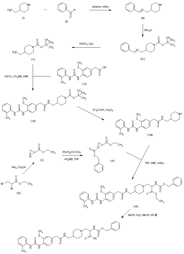
合成路线图解说明:

Selective protection of the secondary amino group of 4-(aminomethyl)piperidine (I) was achieved via conversion to imine (III) upon condensation with benzaldehyde (II), followed by treatment with di-tert-butyl dicarbonate to afford carbamate (IV). Subsequent acid hydrolysis of the imine function of (IV) furnished the mono-protected diamine (V). Coupling of amine (V) with 3-methoxy-4-(3-o-tolylureido)phenylacetic acid (VI) using HATU furnished amide (VII). Acidic cleavage of the N-Boc protecting group of (VII) gave piperidine (VIII). Aziridine (X) was prepared from ethyl 2,3-dibromopropionate (IX) by treatment with ammonia in acetonitrile. Condensation of (X) with N-(benzyloxycarbonyloxy)succinimide produced the benzyl carbamate (XI). Regioselective ring opening of the aziridine (XI) with piperidine (VIII) yielded adduct (XII). The ethyl ester group of (XII) was finally hydrolyzed to the target carboxylic acid under basic conditions.

参考文献No.629132
标题:Diamine containing VLA-4 antagonists
作者:Astles, P.C.; Harris, N.V.; Morley, A.D.
来源:Bioorg Med Chem 2001,9(8),2195
合成路线图解说明:

Selective protection of the secondary amino group of 4-(aminomethyl)piperidine (I) was achieved via conversion to imine (III) upon condensation with benzaldehyde (II), followed by treatment with di-tert-butyl dicarbonate to afford carbamate (IV). Subsequent acid hydrolysis of the imine function of (IV) furnished the mono-protected diamine (V). Coupling of amine (V) with 3-methoxy-4-(3-o-tolylureido)phenylacetic acid (VI) using HATU furnished amide (VII). Acidic cleavage of the N-Boc protecting group of (VII) gave piperidine (VIII). Aziridine (X) was prepared from ethyl 2,3-dibromopropionate (IX) by treatment with ammonia in acetonitrile. Condensation of (X) with N-(benzyloxycarbonyloxy)succinimide produced the benzyl carbamate (XI). Regioselective ring opening of the aziridine (XI) with piperidine (VIII) yielded adduct (XII). The ethyl ester group of (XII) was finally hydrolyzed to the target carboxylic acid under basic conditions.

Drug Information Express,Drug R&D,Chemical Database,Patent Search.
Copyright © 2006-2026 Drug Future. All rights reserved.Contact Us